作者:孙千 本文转载自公众号:老千和他的朋友们。原文地址:https://mp.weixin.qq.com/s/jo_6UJutnI9f9NQLJ4kJCg
电子光学系统要获得高亮度、纳米级聚焦电子束,尖端阴极是核心部件。早年商用系统里,室温场发射阴极用得最多。过去二三十年间,多款高温尖端阴极慢慢具备了商用价值,成了性能更优的电子源选择。像日比(Hibi)、丸势(Maruse)与坂木(Sakaki)、埃弗哈特(Everhart)这些早期研究者,最早做了高温肖特基尖端阴极的探索工作。目前,高温场发射源已经成了电子束光刻、扫描/透射电镜镜、关键尺寸测量工具这类对阴极亮度要求高的设备里最常用的电子源。
虚源尖端阴极和传统“交叉模式” 阴极的区别,主要在发射极表面电场状态和电子光学系统的“物”定位上:虚源尖端阴极的发射极表面有高电场,而热离子阴极这类传统阴极,工作时更靠近空间电荷限制区。
传统交叉模式下,电子光学系统把交叉点当后续系统的 “物”;虚交叉模式里,“物” 却是物理阴极后方不远处的虚交叉点。

图1 | 上图为真实交叉束源光学系统,下图为虚拟交叉束源光学系统,图中展示了两种系统下的电子轨迹
有意思的是,这两种模式的差别,其实就来自发射极从抑制极(常叫Wehnelt极或肖特基抑制极)伸出来的长度不一样。别看只是这么点几何结构的变化,它对阴极表面电场强度和电子轨迹的影响却特别大,能直接改变阴极的工作特性。
过去十五年,多晶和单晶的六硼化镧(LaB₆)、六硼化铈(CeB₆)尖端阴极已经用在各类微区探针仪器上了,但几乎都是交叉模式工作。这类阴极的抑制极电压比阴极低几百伏,一个重要作用就是降低发射极的额外热发射,从而控制总发射电流。这点对 LaB₆热离子阴极、ZrO/W 肖特基阴极这类低功函数阴极尤其关键 ——要是不用抑制极,它们在1800K左右的正常工作温度下,总电流能超几百微安,根本满足不了设备需求。
当然,工作模式(交叉或非交叉)只是阴极分类的主要依据,性能上还有不少其他重要差异。拿高温 ZrO/W 肖特基阴极和 LaB₆热离子阴极来说,它们的性能参数对比见下表。

Lyn W. Swanson and Gregory A. Schwind. Review of ZrO/W Schottky Cathode
要说明的是,尽管LaB₆阴极在1800K 时阴极处的能量分散是 0.15eV,但受库仑相互作用影响,后续交叉位置的能量分散会变大。本文的重点就放在 ZrO/W肖特基阴极的性能和发射特性上。

1 . ZrO/W 阴极背景
发射极穿过抑制极的非交叉模式阴极,属于高电场阴极,一般工作在 “扩展肖特基” 发射区;而 LaB₆阴极这类交叉模式阴极,工作时外加电场低,更靠近空间电荷限制区。
图2 能清楚看到两种发射区的电子能量分布(相对于费米能级)和平均能级的差别:温度低、电场高的时候,电子在费米能级附近发射,这是冷场发射(CFE);温度升高后,就变成扩展肖特基发射(SE)。交叉模式下,因为电极几何结构和空间电荷的影响,阴极表面的外加电场强度会低不少。

图2 | 图中展示了低温冷场发射(F₂)与高温肖特基发射(F₁)两种模式下,固体 – 真空界面的电子势能示意图,并标注了两种发射模式对应的能量分布。
关于ZrO/W尖端阴极,已经有不少研究者做了大量工作。研究发现,它的工作温度能在300K到1800K 之间,功函数比较低(2.9±0.1eV),而且当发射极半径在0.3μm到1.0μm时,操作起来也比较方便,性能也稳定。
ZrO/W阴极的低功函数区域,主要集中在(100)晶面上。这是因为发射极杆上有 ZrO₂储备层(图4),它会通过表面扩散提供 ZrO复合物,而这些复合物又会选择性地吸附在(100)晶面上,最后形成低功函数区。要是用〈100〉取向的单晶钨丝做发射极基底,(100)晶面的功函数会选择性降低,这样电子束就能以阴极轴线为中心,把角发散度控制在±7°以内(图5b)。

图3 | 钨〈110〉取向发射体的场发射图像:(a)为洁净表面的发射图案;(b)为 ZrO 涂层表面的发射图案,可见(100)晶面的优先发射现象。

图4 | ZrO/W〈100〉肖特基发射体的SEM图像,图中显示了发射体杆部的 ZrO₂储备层。
Zr和O₂的共吸附层怎么选择性吸附、降低W(100)晶面功函数,这个表面物理化学过程,也有研究讲清楚了。关键是Zr的覆盖度和Zr/O原子比——要是 O₂分压太高,功函数会升高,发射电流就会减小;但只要温度不超过 1850K,功函数的这种变化是能恢复的,可逆性很好。也正是因为ZrO 吸附复合物的热稳定性不错,ZrO/W 阴极才能作为实用的高温阴极长期工作。
还有研究用X射线光电子能谱(XPS)、低能电子衍射(LEED)加上功函数测量,确定了功函数最小时,表面成分是Zr-O复合物。
ZrO/W扩展肖特基发射(SE)阴极经过热退火和场稳定处理后,会出现不同的发射形态(图5):热退火之后,发射极末端是(100)晶面的阶梯结构,ZrO吸附层还会让阶梯高度变大;而在温度和电场一起作用下,末端形态会慢慢变成稳定的单刻面结构(图 5b)。

图5 | ZrO/W 扩展肖特基发射(SE)阴极的场发射图像(上图)及对应的发射体形貌SEM图像(下图):(a)为在低电场下 1800 K 热加工后立即拍摄的图像;(b)为在高电场下 1800 K 长期加热后的图像。
在1800K的工作温度下,只要电场强度超过 8MV/cm,(100)刻面就能长期保持稳定,这时候0.5μm半径发射极的电流/立体角(角强度)能达到 0.2mA/sr。另外,要是用钪(Sc)、钇(Y)、铪(Hf)、钛(Ti)或者其他元素代替锆(Zr),也能达到类似的低功函数和稳定发射效果。
低功函数带来的好处是,大半径的场发射极在高温下也能以扩展肖特基发射模式工作,亮度能和小半径、高功函数的冷场发射(CFE)阴极(纯场发射模式)相比。虽然冷场发射极和扩展肖特基发射极的半径差了5到10倍,但扩展肖特基发射极的虚源尺寸还是很小(15-20nm),再加上它的角强度高,最后就能形成高亮度的电子源,满足高精度电子光学设备的需求。
2 肖特基发射和扩展肖特基发射
肖特基发射(SE)区的阴极电流密度 Jₛ,和功函数 φ、温度 T、电场强度 F 的关系,要用肖特基方程来描述:

这里面 mₑ是电子质量,e 是电子电荷量,k 是玻尔兹曼常数,h 是普朗克常数,都是常用的物理常数。
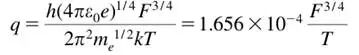
肖特基方程只有在电场强度足够低、隧穿电流可以忽略的时候才好用;要是隧穿电流对 Jₛ的贡献不能忽视,就得用无量纲参数 q 来衡量隧穿电流的大小,q 的表达式是:

式里 F 的单位是 V/m。
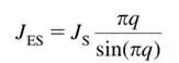
举个例子,q=0.5 的时候,大概一半的电流来自隧穿效应;q 小的时候,隧穿电流占比很小;q 变大后,发射就进入扩展肖特基区,这时候电流密度 JES要用下面这个近似公式:

一般认为这个公式能把肖特基方程的适用范围扩展到 0<q<0.7,可 q 超过 0.7 后,式的准确性就会下降。
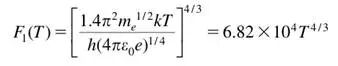
要是把扩展肖特基区的上限定在 q=0.7,对应的电场强度 F₁(T) 能推出来是:

而肖特基发射和扩展肖特基发射的边界,大概在 q=0.3 的位置。
在肖特基区,从肖特基曲线(ln (I’)-VE(1/2)能直接算出 β 的实验值;可到了扩展肖特基区,电场依赖性比肖特基方程强,直接算出来的 β 值会偏大。要想得到准确的 β 值,必须对肖特基曲线的斜率做修正。
3 场因子β、发射极半径r与功函数φ的关系
场因子 β、发射极半径 r 与功函数 φ 三者存在明确的关联且相互影响。
场因子 β 是反映发射极表面电场集中程度的关键参数,其与发射极半径 r 呈显著负相关,通过 SCWIM 模型推导的经验公式为 β=6.738×10⁷r⁻⁰.⁹⁶ m⁻¹(r 取值范围 300-1400 nm),即发射极半径越小,β 值越大,表面电场越强。
功函数 φ 则与发射极半径及 β 存在间接关联,实验数据显示(如表2),随发射极半径 r 增大(从 270 nm 增至 1440 nm),功函数 φ 呈轻微下降趋势(从 2.96 eV 降至 2.85 eV),且当发射极在 1800 K 下于不同角强度 I’(对应不同 β 值)下平衡时,β 值随 I’ 升高因 (100) 晶面尺寸增大而降低约 35%,同时 φ 值伴随 (100) 晶面尺寸增大出现约 4% 的小幅下降,三者共同通过影响发射极表面电场强度与电子逸出势垒,调控 ZrO/W 肖特基阴极的发射特性。

4 角强度I’与引出电压VE的关系
角强度I’(Angular Intensity)是描述肖特基电子源发射特性的核心参数,指电子源在单位立体角内发射的电流,单位为 mA/sr。
角强度 I’与引出电压 VE(Extraction Voltage)(单位:V)呈显著关联且受发射极半径 r、功函数 φ 及发射机制共同调控:二者通过场因子 β 建立直接物理联系(F=βVE,F 为发射极表面电场),VE升高会使 F 增强,进而推动发射从纯肖特基区过渡到扩展肖特基区,对应 I’ 随 VE升高而增大,但高 VE 段因发射机制转变,肖特基图(ln (I’)-VE^(1/2))会偏离直线(如图6)。

图6 | ZrO/W 肖特基发射(SE)源的实验肖特基图,纵坐标为 ln (I’),横坐标为 Vₑ¹/²。实验条件为发射体半径 r=320 nm、温度 T=1800 K,图中可见数据在高电压段偏离直线,表明发射机制从肖特基发射过渡到扩展肖特基发射。
同时,相同 VE 下,I’ 随 r 增大而降低(如图7,r=200 nm 时 I’=0.6 mA/sr 所需 V_E≈4000 V,r=1400 nm 时需 V_E≈7000 V),且随 φ 增大而减小(φ=3.20 eV 较 φ=2.95 eV 需更高 VE才能达到相同 I’);

图 7 | 在 T=1800 K、不同角强度 I’(标注为 0.05 mA/sr、0.2 mA/sr、0.4 mA/sr、0.6 mA/sr)条件下,测得的引出电压 Vₑ随发射体半径 r 的变化曲线。抑制极与引出极孔径均为 380 μm。
此外,I’ 与 VE的关系还决定发射体稳定性,当 VE及对应 I’ 低于临界值时,会引发发射体变钝与 (100) 晶面台阶坍塌,需通过优化 VE使 I’ 维持在 0.2-1.0 mA/sr,确保 F≥0.8 V/nm以实现稳定发射。
5 发射极形状稳定性
ZrO/W肖特基阴极发射极的形状稳定性是保障其长期高效工作的核心,其稳定机制、失效诱因及调控手段均有明确实验支撑与图像佐证。
从稳定形态与形成条件来看,发射极需处于表面电场 F≥0.8 V/nm(对应角强度 I’=0.2-1.0 mA/sr)的环境中,此时通过热场构建过程会形成稳定的截棱锥结构 —— 顶部为低功函数的 (100) 晶面,侧面为 (110) 晶面,且 (100) 晶面直径与发射体半径的比值约为 0.6。
如图8b 所示,该图为发射极在 0.5 mA/sr 下运行数小时后的最终稳定俯视SEM图像,可见 (112) 晶面消退、仅保留 (100) 顶面与 (110) 侧面的形态,此形态可在发射体数千小时使用寿命内保持稳定。

图8 ZrO/W 肖特基阴极的俯视扫描电子显微镜图像:(a)为在 0.5 mA/sr 角电流密度下运行 48 h 后的形貌,可见(112)晶面与(110)晶面共同构成截棱锥侧面;(b)为继续在 0.5 mA/sr 下运行数小时后的最终稳定形貌,此时(112)晶面消失,仅保留(100)顶面与(110)侧面,该形态在发射体数千小时使用寿命内保持稳定。(标注说明:[100] Flat 为 [100] 晶面平面,[110] Growth 为 [110] 晶面生长方向,[112] Retreat 为 [112] 晶面消退方向)
从失效机制与影响因素来看,若电场 F<0.8 V/nm(如引出电压 VE或角强度 I’ 低于临界值),发射极表面张力与电场应力失衡,会触发表面扩散导致的变钝(半径增大)与 (100) 晶面台阶坍塌。
如图9所示,该图记录了 T=1900 K 下场构建过程中 (100) 晶面台阶的坍塌序列,从 t=0 min 的初始多台阶形态(图a),到 t=3 min 台阶开始收缩(图b)、t=40 min 台阶显著坍塌(图 c),最终 t=70 min 形成单 (100) 晶面的稳定形态(图d),而未达稳定前的坍塌过程会导致中心发射电流剧烈波动(如图10 所示,该图中电流的大幅振荡正源于 (100) 晶面台阶坍塌穿过 1.6 mrad 半张角探测孔)。

图9 | ZrO/W 肖特基发射阴极在 T=1900 K 下的场构建过程中,(100)晶面台阶坍塌的发射图案序列:(a)t=0 min(初始状态);(b)t=3 min;(c)t=40 min;(d)t=70 min(最终稳定状态)

图10 | ZrO/W 发射体轴向(100)晶面中心区域,通过 1.6 mrad 半张角探测孔接收的发射电流随时间变化曲线。图中较大的电流波动源于(100)晶面台阶坍塌,坍塌过程穿过探测孔导致电流不稳定。
此外,残余气体中 O₂分压会加速坍塌速率,1800 K 下 O₂分压从 0 增至 25 ntorr 时,(100) 晶面坍塌速率从近 0 升至约 4.5 μm/min,进一步加剧形态不稳定。
从稳定性调控手段来看,ZrO 涂层发挥关键作用:其可将发射体表面扩散的活化能从洁净 W (100) 的 2.78 eV 提升至 6.53 eV,大幅降低表面原子迁移速率,从而减缓发射体变钝;同时,发射极工作温度需严格控制在 1700-1800 K—— 此温度区间既能保证 ZrO 复合物在 W 表面的选择性吸附稳定性(避免温度超过 1850 K 导致 ZrO 复合物分解、功函数不可逆升高),又能平衡发射体杆部 ZrO₂储备层的蒸发速率(1800 K 下储备层蒸发对应的阴极寿命可达数千小时),避免因 ZrO 耗尽导致 (100) 晶面功函数升高,间接保障形态稳定。
6 总能量分布(Total Energy Distribution,TED)
ZrO/W 肖特基阴极的总能量分布(TED)是影响电子枪色差与成像质量的关键特性,其特征、影响因素及调控规律有明确研究结论与实验支撑。
TED 可用解析表达式描述,核心参数为半高宽(FWHM),数值计算值(FWHM_N)与扩展肖特基区近似值(FWHM_ES)在 q<0.7 时吻合度高(比值接近 1,如图11),说明该表达式可精准表征扩展肖特基区能量分布。

图11 | 在 T=1800 K、不同功函数(标注为 2.5 eV、3.0 eV、3.5 eV)条件下,扩展肖特基发射总能量分布半高宽(FWHMₑₛ)与数值计算半高宽(FWHMₙ)的比值随 q 值的变化曲线。
恒定电流密度 J=2×10⁷ A/m² 下,FWHM_N 随温度T变化呈 “先升后降” 趋势,每种功函数 φ 对应 FWHM_N 最大值,且最大值对应的 T 随 φ 减小而降低,而在肖特基发射(SE)区(曲线峰值右侧)存在 FWHM 最小值,此温度区间为兼顾能量分辨率与发射效率的最优工作范围。
如图12,图中矩形框标注了 SE 与冷场发射(CFE)源的典型工作温度范围,且 ZrO/W 阴极 SE 区 FWHM 与 CFE 阴极差异不大,证明其能量分辨率竞争力。

图12 | 在电流密度 J=2×10⁷ A/m²、不同功函数(标注为 2.0 eV、2.5 eV、3.0 eV、3.5 eV、4.0 eV、5.0 eV)条件下,总能量分布(TED)半高宽(FWHMₙ)随温度 T 的变化曲线。图中矩形框标注了冷场发射(CFE)与肖特基发射(SE)源的典型工作温度范围。
FWHM 受 φ、发射体半径 r 及库仑相互作用(Boersch 效应)影响显著 —— 降低 φ 可减小 FWHM(使发射更接近纯肖特基区的~2kT),增大 r 可通过提升引出电压 VE降低库仑作用导致的能量展宽,而随归一化角强度 I_r’ 增大,实验 FWHM(FW50 (exp.))升高主要源于库仑相互作用贡献(FW50 (Coul.)),且 FW50 (Coul.) 可拟合为 I’ 与场因子 β 的幂函数(FW50 (Coul.)=6.0×10⁻⁷β¹.¹I’⁰.⁹⁹ eV,如图13),因此实际设计中需通过选择低 φ 材料、优化 r 与控制 I_r’,实现 TED 的精准调控以满足低色差应用需求。

图13 | ZrO/W 肖特基发射源中,库仑相互作用导致的 FW50 值(单位 eV)与场因子 β、角强度 I’ 的关系曲线。图中拟合曲线符合幂律函数:FW50 (Coul.) = 6.0×10⁻⁷×β¹・¹×I’⁰・⁹⁹(单位 eV)。
7 发射极亮度
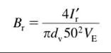
尖端源的约化亮度Br是衡量其性能的核心指标,它和虚源尺寸dv50、约化角强度Ir’的关系能通过理论推导建立。

要是假设虚源的发射分布是高斯分布,那么包含 50% 电流的虚源直径dv50 能用下式表示:

式中,〈Et〉是发射电子的平均初始横向能量,在肖特基发射(SE)区,〈Et〉=kT。

结合公式和表2 的数据,能计算约化亮度Br;但要注意,这个计算没包含随机库仑相互作用导致的d50增大和Br降低效应—— 实际应用中需要对计算值做修正。表3 是 I’=0.20mA/sr 时的计算结果,能看出来小 r 值对应的约化亮度能达到 1×10⁸A/m²・sr・V量级,比 LaB₆阴极高很多,体现了ZrO/W阴极的高亮度优势。

电子源的品质因数定义为 Br/FW50,这个值会随着r 减小而增大。但因为 FW50 随 I’ 增大而增大,所以把 I’大幅提高到0.2mA/sr 以上来增大Br/FW50的可能性不大——实际应用中,I’ 的最佳工作范围是 0.2 到 0.7mA/sr,这样能在亮度和能量分辨率之间取得平衡。

图14 | ZrO/W 肖特基发射源中,库仑相互作用导致的 FW50 值(单位 eV)与场因子 β、角强度 I’ 的关系曲线。
8 电流波动
电流稳定性是判断阴极实用价值的关键指标,通常分两个频率范围讨论:高频(f>0.1Hz)电流噪声和低频(f<0.01Hz)电流漂移,这两者涉及的物理过程差别很大,需要分别分析。
电流波动的主要原因有两个:一个是功函数波动,来自气体的吸附/解吸和表面特定气体的局域浓度起伏——就算在高真空环境下,残余气体的动态吸附–解吸平衡也会让功函数有微小波动,进而导致电流变化;另一个是局域电场波动,宏观几何结构变化(比如刻面坍塌)或离子轰击引起的原子级位移导致 —— 几何结构变化会直接改变电场分布,原子级位移则会影响局部发射效率。
要是能消除气体吸附/解吸引起的功函数波动和几何结构波动,在高温(~1800K)下,由自扩散或吸附基底原子扩散诱导的浓度波动导致的高频功函数波动,就会成为束流噪声的主要来源 —— 这时候探测区域内基底原子的扩散还在发生,而且在真空度 < 1×10⁻⁸torr 时,残余气体吸附可以忽略,所以噪声主要是自扩散浓度波动引起的。
要减小低频电流漂移,得满足两个关键条件:一是特定残余气体的分压 < 1×10⁻⁸torr 且保持恒定 —— 气体分压波动会直接导致功函数漂移,进而引起电流长期变化;二是电场强度足够高,防止(100)晶面坍塌—— 晶面坍塌会让几何结构不稳定,导致电流漂移。
在商用镜筒中,要是满足上述环境条件,(100)晶面中心区域发射电流的长期漂移能控制在≤0.2%/h,完全能满足高精度电子束设备的稳定性要求。
9 发射极环境要求
高温工作的ZrO/W阴极对残余气体压力的敏感度,比室温工作的场发射阴极低很多——这是它在商用设备中应用广泛的重要原因之一。室温阴极遇到O₂、H₂O、N₂、CO、CH₄、CO₂、H₂这类电负性气体,吸附后会让功函数大幅升高,甚至发射失效;而高温肖特基发射(SE)阴极,高温不仅能让吸附气体的平衡覆盖度保持在较低水平,还能快速修复离子轰击导致的原子位移损伤,减少气体对发射的影响。
但即便如此,研究发现,在~1800K下工作的ZrO/W 阴极,对H₂O和O₂这两种含氧气体的分压还是比较敏感——这两种气体的吸附会明显影响ZrO 复合物的稳定性,进而改变功函数和发射电流。
好在经过充分烘烤的不锈钢真空腔体里,O₂和 H₂O 的分压一般不会高到影响发射。但要特别注意,要是电子束大量轰击附近的氧化物涂层阳极表面,电子激发解吸(ESD)产生的局部 O₂通量会吸附在阴极表面,导致发射特性变化——这个问题在高束流应用中要重点防范。
O₂和 H₂O 分压升高会让发射电流降低,而 N₂几乎没影响;分压变化后,发射电流要几小时才能达到新的平衡,但在实验分压范围内,这种变化是完全可逆的——只要把气体分压恢复到低水平,发射电流就能慢慢回到初始值。

图15 | ZrO/W 肖特基发射源的束流传输效率(定义为角强度 I’ 与总发射电流 Iₜ的比值,单位 1/sr)随不同气体(O₂、H₂O、N₂)分压的变化曲线
要是 ZrO/W 阴极工作在发射极变钝的条件下(F<F₀),(100)晶面的坍塌速率还会受 O₂分压和发射极温度的影响。在 1800K 下,(100)晶面的坍塌速率随 O₂分压升高而加快,进而改变中心发射不稳定性事件的发生频率——O₂分压越高,坍塌越频繁,电流波动越明显。所以把 O₂和 H₂O 分压控制在≤1×10⁻⁹torr,是保证 ZrO/W 阴极长期稳定工作的核心环境要求。
10 发射极的寿命
要是没有灾难性失效,场发射极寿命结束通常是因为发射极慢慢变钝 —— 随着半径增大,发射效率和亮度逐渐下降,最后满足不了设备需求;而发射极寿命也可能因为灾难性变钝突然结束 —— 比如引出极意外过压,或者发射极区域压力骤升,导致发射极和引出极之间产生电弧,瞬间改变发射极形态。
和室温工作的洁净钨阴极相比(冷场),ZrO/W 阴极的发射极半径要大几倍;根据应用经验,大半径发射极更能承受意外电弧冲击,不会发生明显变钝。通常情况下,ZrO/W 发射极发生灾难性变钝后,除了半径变大,基本结构还能保持完整,还能作为低场肖特基发射极继续工作——这比冷场钨阴极好,后者电弧后往往就完全失效了。


图16 | ZrO/W 发射体的SEM图像:(a)正常发射体,半径 r=0.30 μm;(b)电弧放电后的发射体,半径 r=3.2 μm。可见电弧放电仅导致发射体半径增大,(100)低功函晶面仍保持在轴线上。
这种情况发生后,低功函数(100)晶面还会保持在轴线上,而且在正常引出电压下,轴向角强度可能不会有明显变化;有时候单看发射特性,甚至没法判断是不是发生了灾难性变钝,但虚源尺寸会大幅增大 —— 这会导致成像分辨率下降,需要通过测量虚源尺寸来确认阴极状态。
ZrO/W 发射极寿命自然终止的原因,是ZrO 储备层因为蒸发而耗尽 ——ZrO 复合物是维持低功函数的关键,储备层耗尽后,功函数会快速升高,发射电流大幅下降。对于长度 350μm、厚度 36μm 的锆层,它的蒸发速率随发射极温度的变化如图34 所示 —— 温度越高,蒸发越快,寿命越短。

图17 | ZrO/W 发射体的计算寿命(单位 h)随温度的变化曲线,寿命由 Zr 储备层的蒸发速率决定。假设 Zr 储备层厚度为 36 μm、长度为 350 μm
蒸发时间t、储备层体积V、表面积A 和锆蒸气压PZr的关系是:

式中,T 是温度,mZr 是蒸发物种(假设是纯 Zr)的质量,ρZr是锆的密度。纯 Zr 的蒸气压能用下式描述:

在1800K下,ZrO/W 阴极因为锆层蒸发导致的寿命能达到几千小时。我们对12个在商用仪器环境下工作的 ZrO/W 阴极做了统计,发现它们因为ZrO层蒸发导致的平均寿命是 6400±1650h,其中最好的一个寿命甚至长达 17000h,而且期间发射极半径没有明显变化——这个寿命完全能满足商用设备的维护周期需求。
11 总结
经过学界多年的研究,ZrO/W肖特基阴极的工作机制和发射特性已经很清楚了。它对环境因素的耐受性强(比如对残余气体不敏感),性能参数也优异(高亮度、低能量分散、长寿命),在商用电子束系统中的应用越来越广,能满足更高分辨率和更高电流密度的需求——尤其在电子束光刻、高分辨透射电镜这类对电子源要求高的领域,优势很明显。
未来要是能优化ZrO 储备层的蒸发控制技术,ZrO/W 阴极的寿命和稳定性还能进一步提升,为电子束应用的性能突破提供关键支持。
当ZrO/W阴极工作在合适的角强度(I’=0.2–1.0mA/sr)和H₂O、O₂分压(≤1×10⁻⁹torr)条件下时,它的关键发射特性(能量分散、源亮度、高频和低频电流波动)都能和冷场发射(CFE)阴极相比,而且在寿命和环境适应性上,比目前已知的其他高亮度阴极都好——这让它成了下一代高性能电子光学设备的核心电子源选择。