作者:孙千 本文转载自公众号:老千和他的朋友们。原文地址:https://mp.weixin.qq.com/s/8EQoy60yzzY41fLnx4tSRQ
电子是低质量、带负电荷的粒子,经过其他电子或原子核附近时易被库仑相互作用偏转。这种静电作用引起的散射是TEM的基础。
电子兼具粒子性和波动性。波动性产生衍射效应,对TEM同样重要。没有电子散射,就无法生成TEM图像、衍射花样或光谱数据。因此,理解电子散射的粒子和波动方法是解释TEM信息的关键。
电子散射是复杂的物理领域,但电镜学家只需掌握基本概念和关键思想。
散射的核心思想归结为四个问题:电子被原子散射的概率多大?散射角度如何?电子在散射间行进多远?散射是否导致能量损失?
第一个问题涉及截面概念。第二个问题通过微分截面确定散射角,这决定了TEM操作员可控制的成像电子类型。第三个问题需要理解平均自由程,这对薄样品TEM尤其重要。第四个问题要求区分弹性散射和非弹性散射。
弹性散射提供衍射花样的主要信息,非弹性散射产生X射线和其他光谱信号。区分能量损失电子和无损失电子至关重要。后续内容将分别讨论这两种散射类型。
为什么我们对电子散射感兴趣?
电子散射是所有电镜的基础,不仅仅是TEM,这个道理很容易理解。我们都知道,除非物体以某种方式与可见光相互作用,否则眼睛就看不到任何东西。反射和折射就是光散射的两种基本形式。如果光束中没有灰尘散射光线,或者光线没有撞击表面,我们就看不到光束本身。
电镜的成像原理与此相同。除非样品以某种方式与电子相互作用并散射电子,否则我们无法在EM图像中看到任何东西。这意味着任何不散射电子的物体都是不可见的。
TEM的构造决定了我们通常最关心那些没有严重偏离入射方向的电子。这种设计有其道理。TEM主要是为了收集这些轻微散射的电子而建造的。同时,这些电子恰好能提供我们所需的样品内部结构和化学信息。
当然,其他形式的散射也有价值。大角度散射的电子,比如背散射电子,以及从样品中射出的二次电子,都值得我们关注。不过,我们不会完全忽视它们,但这些信号在SEM中更为重要。它们分别能提供原子序数对比度和表面敏感的形貌图像。
为了让大家对电子散射的重要性有直观认识,我们有必要在这里简要说明TEM的基本工作原理。在TEM中,我们用一束强度均匀的宽电子束照射薄样品。这束电子在照射区域内的强度分布是均匀的。
我们通常把这些电子称为电子束,而不是单个电子。这是因为我们处理的是大量电子的集合。这些电子在镜筒中沿着定义明确的路径传播。撞击样品的电子被称为入射束。被样品散射的电子则被称为散射束,有时也特指为衍射束。
通过薄样品的电子可以分为两类。一类是没有发生角偏差的电子。另一类是通过可测量角度被散射的电子。我们把未偏转的电子称为“直射束“。这个术语有别于大多数教科书中使用的“透射束“,尽管所有通过样品的电子实际上都已被“透射“了。
电子穿过样品时,会发生两种情况。要么被各种过程散射,要么可能保持不受影响。无论如何,最终的结果是从样品出射表面出现非均匀的电子分布。图1形象地展示了这种情况。正是这种非均匀分布包含了样品的所有结构信息、化学信息和其他相关信息。因此,我们用TEM学到的关于样品的一切,都可以归因于某种形式的电子散射。

图1| (A) 均匀强度的电子照射在薄试样上。试样内的散射改变了透射电子的空间和角度分布。空间分布(强度)由波浪线表示。(B) 角度分布的变化通过入射电子束被转变为几束前向散射电子束来显示。
TEM能够以两种不同方式显示这种非均匀的电子分布。散射的空间分布可以作为样品图像中的对比度被观察到,如图1A所示。散射的角度分布则可以以散射花样的形式查看,通常称为衍射花样,如图1B所示。
TEM操作中有一个简单而基本的步骤。我们使用限制光阑或电子探测器,调整其大小使其只选择特定角偏差范围内的电子。这个操作赋予操作员选择想要使用的电子的能力,从而能够控制图像中包含的信息类型。要理解这些图像的含义,必须了解是什么首先导致了电子散射。对于衍射花样来说也是如此。操作员也可以在一定程度上控制角散射分布,比如通过倾斜样品。
这里需要澄清几个重要术语。通过样品但保持平行于入射电子方向的束被称为直射束,这是一个非常重要的概念。电子在本书中以两种不同方式处理。在讨论电子散射时,我们把它当作一系列粒子。在讨论电子衍射时,我们用波理论来处理。这与X射线或可见光的情况类似。不过,必须始终记住电子是带电粒子,库仑力非常强大。
散射和衍射的术语
电子散射现象可以用不同方式分类。我们已经使用了最重要的术语:弹性散射和非弹性散射。弹性散射不会导致能量损失。非弹性散射则会导致一些可测量的能量损失,尽管这种损失相对于束能量通常非常小。无论哪种情况,我们都可以将束电子和样品原子视为粒子。入射电子被样品中原子的散射,通常可以近似为类似台球碰撞的过程。
我们还可以从另一个角度对散射电子进行分类:相干和非相干。这种分类涉及电子的波性质。这两种分类方式是相关的。弹性散射的电子通常是相干的。非弹性散射的电子通常是非相干的。不过要注意“通常“这个修饰词,说明还有例外情况。
让我们假设入射电子波是相干的。这意味着它们基本上是同步的,也就是同相的,并且具有固定的波长。这个波长由加速电压控制。在此假设下,相干散射的电子是那些在与样品相互作用后仍然保持同步的电子。非相干散射的电子则失去了相位关系。
散射的性质会导致不同的角度分布。散射可以分为前向散射或背散射。这两个术语通常写作一个词。它们指的是相对于入射束方向和垂直于入射束的样品平面的散射角度。需要注意的是,有时会看到“前向散射“这个术语在其他意义上使用。如果电子被散射的角度小于90°,那么它是前向散射的。如果角度大于90°,它就是背散射的。
这些不同术语之间存在一般性的关联规律,图2对此进行了总结。如果样品薄且结晶,弹性散射通常是相干的,这需要从波的角度来思考。弹性散射通常发生在相对较低的角度,大约1-10°,也就是在前向方向强烈集中,这是波的行为特征。在更高角度,比如大于10°时,弹性散射变得更加非相干,这时需要考虑粒子的行为。

图2.不同类型的电子散射:(A)薄试样和(B)块状试样:薄试样允许电子在前向和后向方向散射,而块状试样仅反向散射入射束电子。
非弹性散射的情况有所不同。它几乎总是非相干的,而且是非常低角度的散射,通常小于1°,这需要从粒子的角度来考虑。当样品变厚时,散射行为会发生变化。更少的电子被前向散射,更多的电子被背散射。
电子可以被散射多次,这与电子可以被散射通过不同角度的概念相关。一般来说,散射事件越多,最终的散射角度就越大。不过有时第二次散射事件可以将电子重新定向回直射束方向,这样看起来电子似乎没有经历散射。
最简单的散射过程是单次散射。我们经常将TEM样品内的所有散射近似为这个过程。这意味着电子要么经历单次散射事件,要么完全不受散射。如果样品非常薄,这是操作员可以控制的条件,那么这种近似可能非常合理。
如果电子被散射多次,我们使用“多重散射plural scattering”这个术语。如果它被散射超过20次,我们称之为“多次散射multiple scattering”。通常可以安全地假设,除非样品特别厚,多次散射不会在TEM中发生。如果样品太厚,可能什么也看不清。
散射事件的数量直接影响我们的分析难度。散射次数越多,预测电子的行为就越困难。相应地,解释我们收集的图像、衍射花样和光谱也就越困难。这再次强调了“越薄越好“标准的重要性。如果创建的样品足够薄,使得单散射假设合理,那么TEM研究将变得更容易。
衍射是弹性散射的一种特殊形式,相关术语可能令人困惑。柯林斯词典将衍射定义为“波在其路径中遇到障碍物边缘时方向的偏差“。散射则定义为“粒子、原子等由于碰撞而发生偏转的过程“。散射一词也可以作为名词,表示散射这种行为本身。
因此,散射可能最适用于描述粒子的行为,衍射适用于描述波的行为。但两个术语都适用于电子!还应该注意的是,衍射这个术语并不限于我们在TEM中强调的布拉格衍射。它指的是涉及波的任何相互作用过程。不过许多教科书在这方面并不一致。
在TEM中,我们利用的是通过样品的电子。重要的是要认识到,这些电子不是简单地像可见光通过窗玻璃那样“透射“的。电子主要在前向方向被散射,也就是平行于入射束方向。我们已经注意到“直射“和“透射“之间可能存在的混乱。我们很快会告诉大家电子前向散射的比例,以及这个比例如何随样品厚度和目标原子的原子序数而变化。这种散射行为是电子和物质之间存在强烈相互作用的直接结果。
前向散射包含多种成分。直射束是其中之一。大多数弹性散射也属于前向散射。衍射,特别是布拉格衍射,同样如此。正是由于通过薄样品的前向散射,我们才能在观察屏幕上看到衍射花样或图像。我们也能在TEM镜筒外探测到X射线谱或电子能量损失谱。不过不要忽视背散射,它在SEM中是重要的成像模式。
当物理学家考虑固体内电子相互作用的理论时,通常采用渐进的方法。他们首先考虑电子被单个、孤立原子的散射。然后进展到原子的聚集体,先是非晶固体中的情况,然后是晶体固体中的情况。我们将遵循类似的路径来展开讨论。
散射角度
电子遇到单个、孤立原子时,可以通过几种方式被散射。现在,让我们简单地设想电子被散射通过角度θ的情况。θ用弧度表示,散射到某个立体角Ω,以球面度测量。图3展示了这种情况。我们必须首先明确定义这个角度,因为它在后续讨论截面时起重要作用。

图3. 单个孤立原子的电子散射。电子被散射的角度为y,散射的总立体角为Ω。散射角的微小增量dy导致立体角的微小增量dΩ,这是确定微分散射截面的基础。
通常我们假设θ足够小,使得sinθ ≈ tanθ ≈ θ。当θ如此小时,使用毫弧度或mrad通常比较方便。1毫弧度等于0.057°,10毫弧度等于0.57°。小角度的一个方便上限是小于10毫弧度。
需要注意的是,散射角θ实际上是一个半角,而不是散射的总角度。此后,无论何时我们说“散射角“,实际上都是指“散射半角“。
散射事件的特征由多个因素控制。入射电子能量是其中一个重要因素。散射原子的原子序数和重量也很关键。当我们考虑样品而不是单个原子时,其他因素也变得重要。样品的厚度、密度、结晶度,以及样品相对于入射束的角度,都会影响散射特征。
为了理解这些变量的作用,我们需要更详细地讨论散射的物理学原理。出于篇幅限制,我们的讨论将相当简短,而且经常不够精确。我们试图将Mott和Massey经典教科书中的大量内容浓缩到几页中。这种简化是必要的,但也意味着某些细节会被省略。
前向散射是TEM中大多数有用信号的原因。衍射的定义可以概括为任何种类的波与任何种类的物体之间的相互作用,这个定义来自Taylor在1987年的工作。
相互作用截面及其微分
特定电子与原子发生任何种类相互作用的概率由相互作用截面决定。Rudolf Peierls提供了一个很好的类比来解释截面的概念,这个类比来自Rhodes在1986年的记录。
“如果我向一个面积为一平方英尺的玻璃窗扔球,可能有十分之一的机会窗户会破碎,十分之九的机会球会反弹。用物理学家的语言来说,这个特定的窗户,对于以这种特定方式扔出的球,具有0.1平方英尺的破碎截面,这是非弹性的。同时具有0.9平方英尺的弹性截面。“
这个类比很好地说明了截面的本质。每个可能的相互作用都有不同的截面值。截面的大小取决于粒子的能量,在电镜种就是电子束能量。我们用希腊字母σ来表示截面。截面具有面积的量纲,但不是Peierls类比中使用的平方英尺,而是原子面积的微小分数。
这个单位被称为“靶“。一靶等于10⁻²⁸ m²,也就是(10⁻⁵ nm)²。这个名字源于一些早期原子物理学家的反常幽默感。他们认为这个不可想象的小面积“像靶门一样大“。截面并不代表实际的物理面积。不过,当它除以原子的真实面积时,就代表散射事件发生的概率。截面越大,散射的机会就越好。
来自孤立原子的散射
我们先考虑单个孤立原子的散射截面,然后将这个概念扩展到包含许多原子的样品。之后,我们将把总截面的概念分解为各个过程的截面,比如弹性散射和各种非弹性过程。
根据Heidenreich在1964年的工作,我们可以用单个、孤立原子的有效半径r来定义截面。这是一个面积量:
σatom = πr²
对于每个散射过程,r都有不同的值。
在TEM中,我们关心的是散射过程是否会将入射束电子偏转到特定散射角θ之外。这种偏转可能导致电子无法通过透镜中的光阑,或者使它们错过电子探测器。
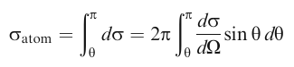
因此,我们必须知道微分截面dσ/dΩ。它描述来自原子的散射的角度分布。如图3所示,电子被散射通过角θ到立体角Ω。在θ和Ω之间存在简单的几何关系:
Ω = 2π(1 – cosθ)。因此:dΩ ≈ 2π sinθ dθ
单个、孤立原子的微分散射截面可以写为:
现在,我们可以通过积分方程来计算散射到所有大于θ的角度的σatom。积分从θ到π:
积分的限制由θ值的变化范围控制。θ可以从0变化到π,具体取决于散射的类型。如果我们计算这个积分,会发现σ随着θ增加而减少。这在物理上是合理的。由于dσ/dΩ通常是通过实验测量的,尽管不是在TEM中测量,方程为我们提供了一个简单的方法。我们可以通过计算(dσ/dΩ)sinθ从0到π的积分来确定给定原子的截面σatom。
如果我们从0积分到θ,那么我们确定的是散射到所有小于θ角度的截面。这实际上与TEM的情况更相关。
来自样品的散射
现在让我们从单个孤立原子的截面转向考虑实际样品的情况。样品包含N个原子每单位体积,截面具有面积单位。因此,我们可以定义来自样品的总散射截面,单位为m⁻¹:
σtotal = N σatom
由于N = N₀ρ/A,我们可以进一步展开这个表达式。N₀是阿伏加德罗数,单位为原子/mol。A是样品中散射原子的原子重量,单位为kg/mol。ρ是密度,单位为kg/m³。因此我们可以写成:
σtotal = N σatom = (N₀ σatomρ)/A
σtotal表示电子通过样品行进单位距离时的散射事件数。如果样品厚度为t,那么来自样品的散射概率由下式给出:
σtotal t = (N₀ σatom (ρt))/A
这里我们将ρ和t的乘积组合在一起,因为这被称为样品的质量厚度。
使ρ加倍产生的效果与使t加倍相同。当我们讨论图像对比度和X射线吸收时,会再次遇到质量厚度这个术语。
以上方程是一个重要的表达式。它包含了影响真实样品散射概率的所有变量。当我们考虑某些类型的图像对比度如何在TEM中产生时,将再次使用这个方程。
通过这些相当简化的方程,我们现在可以了解电子散射的物理学和TEM中收集信息之间的关系。截面的表达式在实际应用中会变得更复杂。它们会被修改以更好地近似真实样品中的散射情况。不过,更复杂的方程不会改变我们刚才给出的简单方程所预测的基本散射行为。
一些典型数值
由于影响σatom和σtotal的变量很多,我们只能给出截面的大致数值。对于TEM中使用的电子能量范围,即100-400 keV,弹性截面几乎总是总散射的主导成分。
参考前面的图3,100-keV电子轰击过渡金属时典型的小角弹性截面约为10⁻²² m²。这是记住典型弹性散射的一个好数字。非弹性截面通常较小,范围从10⁻²² m²到10⁻²⁶ m²。具体数值取决于散射的类型和材料性质。
典型的散射半径r约为10⁻¹¹ m或0.01 nm。这可能看起来有点小,大约是原子半径的十分之一。不过,考虑到散射主要局限于更靠近原子核的内壳层或特定的电子–电子相互作用,再考虑到所有的限制条件,这可能不是较为准确的估计。
平均自由程
我们可以用长度而不是面积来描述相互作用过程。电子在与原子相互作用之间行进的距离在使用薄样品时显然很重要。这个新参数就是电子在散射事件之间行进的平均距离,称为平均自由程。
这个距离的重要性在于其实用价值。如果我们知道平均自由程的数值,就可以计算样品必须制备得多薄。只有足够薄,多重散射才不会成为重要因素。这样就能使根据单散射理论解释图像和光谱数据变得更容易。
σtotal这个术语可以表示为平均自由程λ的倒数。由于σtotal的量纲是m⁻¹,因此存在一个简单的平均自由程λ表达式,具有长度单位:
λ = 1/σtotal = A/(N₀ σatom ρ)
在TEM工作电压下,散射的平均自由程λ的典型值大约是几十纳米。
单散射近似要求样品厚度就在这个数量级。不幸的是,λ这个符号通常用来表示平均自由程。它不是电子的波长,这点需要特别注意。
我们可以定义散射概率p。这是电子通过样品厚度t时发生散射的概率:
p = t/λ = (N₀ σatom (ρt))/A
尽管计算资源不断改善,我们对σ、λ和θ数值的了解充其量还是不够精确的。
这种情况在TEM中使用的100-400 keV束能量范围内尤其明显。特定散射事件的截面和平均自由程可能只能在两倍因子的范围内确定。不过,我们通常可以在TEM中非常精确地测量θ。
我们可以将所有散射知识结合在蒙特卡洛模拟中,预测电子束通过薄箔时的散射路径。第一个蒙特卡洛计算是由美国最杰出的两位数学家开发的。约翰·冯·诺伊曼和斯坦利·乌拉姆在1940年代后期在洛斯阿拉莫斯进行了这项工作。
乌拉姆实际上通过掷骰子并进行手工计算来确定中子通过氘和氚的路径。这项计算证明了泰勒提出的“超级“氢弹设计是不可行的。Rhodes在1995年记录了这段历史。蒙特卡洛方法在SEM成像和X射线计算中使用得更频繁。NIST的网站、Joy在1995年的工作以及Goldstein等人在2003年的研究都有相关例子。
在TEM中,这些方法在确定X射线分析的预期空间分辨率方面发挥作用。图4显示了电子通过Cu和Au薄箔路径的蒙特卡洛模拟结果。

图4 | 模拟103个100 keV电子穿过(A)铜和(B)金薄膜时所遵循路径的蒙特卡罗模拟。注意随着原子序数的增加散射角度增大,以及散射角度大于90°的电子数量很少。
蒙特卡洛模拟之所以得名,是因为计算机程序中使用了随机数。结果总是通过统计学来预测的。
另一个重要观察是300 kV相对于100 kV的影响。总的σ随着E₀增加而减少。300 kV的电子散射将小于100 kV的情况。样品的高密度区域比低密度区域散射更多。当子弹变得更快时,目标变得更小,这是一个形象的比喻。
我们如何在TEM中使用散射
经过所有这些数学推导,可能有人会问为什么要让大家经历这些复杂过程。原因很简单也很实用。当操作员选择已经被散射通过某个特定角度的电子时,实际上是在选择一个特定的θ值。这个操作改变了有效散射截面σθ的值。这种改变之所以重要,是因为散射强度通常随着散射角度的增加而减少。
因此,在更高角度时通常会观察到更少的散射。这解释了为什么我们主要关注TEM中的前向散射。大多数被散射的电子都包含在直射束周围5°的范围内。
操作员还可以通过其他方式控制散射截面。第一种方式是调整加速电压。加速电压决定电子能量E₀,以eV为单位,这会影响截面的大小。实际上,对于所有形式的散射,总截面都随着E₀的增加而减少。
因此,中压和高压TEM产生的电子散射比典型的100-kV仪器更少,这对精细(delicate)样品中的电子束损伤有重要意义。聚合物等材料就是这种精细样品的例子。
第二种控制方式更加直观:选择具有不同密度的样品。更密集的材料散射更强烈。因此必须将这些材料制备得更薄,以保持单散射近似的有效性。
原子序数在弹性散射中的作用比在非弹性散射中更重要。随着Z的增加,弹性散射逐渐占主导地位。这种行为特征有助于我们考虑增强低Z材料中散射和对比度的方法。聚合物和生物组织就是典型的低Z材料。
与X射线衍射的比较
电子之所以被用于显微镜学,有一个很好的理由,它们与物质有“合适的相互作用“强度。大多数电子与物质相互作用的描述都基于散射理论。除了我们已经讨论的弹性和非弹性散射之外,还会遇到运动学散射和动力学散射等概念。我们将使用散射因子的数学形式来描述这些过程。
散射过程会随样品的结构或组成发生变化。正是这种变化最终让我们能够成像微结构、记录衍射花样或收集光谱数据。当我们将电子视为波并将衍射视为散射的特定形式时,会使用散射因子这个概念。
现在是时候从台球模型转向波动理论了。历史上,衍射为我们提供了关于材料的大部分晶体学信息。这些研究大多使用X射线进行。这部分解释了为什么X射线衍射在科学文献中有如此详尽的记录。对X射线衍射的良好理解确实有助于理解电子衍射。
不过,电子散射的主要过程与X射线散射的过程截然不同。电子散射要复杂得多。这种复杂性源于两者本质的差异。
X射线的散射机制相对简单。X射线通过与材料中带负电的电子相互作用而被散射。样品中的电子对入射X射线的电磁场产生响应。它们以X射线束的频率进行周期性振荡。这些被加速的带电粒子随后发射自己的电磁场。这个新的电磁场在波长和相位上与入射X射线相同。从每个散射源径向传播出去的合成场就是我们观察到的散射波。
电子的情况完全不同。电子被材料中的电子和原子核同时散射。入射的带负电电子直接与样品的局部电磁场相互作用。因此入射电子直接被样品散射。这不是像X射线情况下那样的场到场的能量交换过程。
这种差异导致了一个重要结果。电子比X射线散射得更强烈。这个特性使得电子显微镜能够获得比X射线方法更高的灵敏度,但也带来了更复杂的散射行为。
夫琅禾费和菲涅耳衍射
可见光的衍射理论已经发展得相当完善。我们应该尽可能多地借鉴这些成熟的分析方法。光学是一个有着数百年历史的古老学科。我们在这里要做的是将经典教科书的主要内容浓缩到几页中。Hecht在2003年的著作就是这样的经典教科书。因此,与电子散射的讨论一样,我们将进行一些必要的简化。
如果对可见光衍射有任何了解,一定会遇到夫琅禾费衍射和菲涅耳衍射这两个概念。夫琅禾费衍射发生在平面波前与物体相互作用时。由于点源发出的波在足够远的距离处会变成平面波,这种情况被称为远场衍射。
菲涅耳衍射则涵盖了所有不属于夫琅禾费衍射的情况。这种情况也被称为近场衍射。在TEM中我们会遇到两种形式的衍射。电子衍射花样与夫琅禾费情况密切对应。我们在图像中“看到“的则是菲涅耳衍射的效果。
现在讨论这些衍射理论有两个重要原因。第一,它提醒我们相干干涉纯粹是物理光学的现象。第二,我们可以借此介绍相量图的概念。这个概念将在后面的内容中频繁使用。
惠更斯原理为波的传播提供了直观的解释。他认为波前上的每个点都可以看作球面小波的新源点。这些小波相互干涉形成新的波前。这个过程不断重复,就解释了波的传播现象。
来自狭缝和孔的光的衍射
本节将简要回顾物理光学或几何光学中与衍射相关的内容。我们对电子波衍射的大部分认识都源于对可见光和X射线衍射的理解。
杨氏双缝实验的启示
我们从最经典的双缝实验开始讨论。入射波前照射在一对非常窄的狭缝上引起衍射。我们选择两个惠更斯小波来分析。这些小波在狭缝处必须具有相同的相位。当它们传播过狭缝后,相位会根据探测器位置的不同而发生变化。
路径差是关键参数,表示为L = d sinθ,图5清楚地显示了这个关系。在某个方向传播的两个小波具有路径差L。相应的相位差为2πL/λ,也就是2πd sinθ/λ。
当d和λ的关系使得相位差恰好是2π的整数倍时,有趣的现象就发生了。此时d sinθ/λ等于整数n。这样两束光线再次同相,它们的幅度相加。相加干涉的条件就是d sinθ = nλ。

图5. 一个入射平面波被两个相距d的狭缝散射。当光程差d sin y等于nλ时,散射波相位相同。
这个关系揭示了d和θ之间的反比关系。对于给定的波长λ,当d减少时,sinθ增加。这种反比关系完全由狭缝的几何位置决定。我们在讨论电子衍射时会遇到完全相同的关系。
我们可以用矢量来表示每个小波,这些矢量被称为相量。相量同时包含幅度和相位信息。当相量彼此平行时,也就是同相时,它们的幅度相加。当它们反向平行时,由于长度相等,会相互抵消。相量图提供了绘制总散射波幅度和相位的方法。当我们叠加多束光的幅度时,必须考虑它们的相位关系。
多缝衍射的复杂性
将分析扩展到两个以上的狭缝时,会看到类似的主峰,但会出现额外的辅助峰。辅助峰的起源通过一系列相量图能得到最好的说明。
我们来检查五个狭缝的情况。图.6中的每个多边形代表不同的θ值。当θ为零时,五束光线都同相。我们简单地将所有幅度相加,此时相量矢量完全对齐。随着θ增加,光线变得不同相。相量仍然可以矢量相加,有时给出较大的合成矢量,有时给出零。

图6. 相位图显示了随着五个狭缝产生的五个波之间的相位角 y 的变化,叠加这些波所产生的总振幅如何变化。来自五个狭缝的各个相量相加,在 y = 72°、144°、216°和 288°时产生总振幅为零,在 y = 0°和 360°时产生较大的正振幅,在 y = 108°和 252°时产生单一相量的负振幅,在 y = 180°时产生单一相量的正振幅。请记住,强度由振幅的平方决定,所以正值和负值都会对衍射强度有贡献。
当θ恰好等于72°时,也就是360°除以5,相量图形成一个封闭的五边形。图中清楚地显示了这一点,此时合成幅度为零。这个过程在144°和216°时重复出现,分别对应2×360°/5和3×360°/5。
在这些零点之间,比如108°处,也就是1.5×360°/5,会产生幅度的局部最大值。在180°处,即2.5×360°/5,这种局部最大值再次出现。如果将幅度作为θ的函数绘制,就得到图6所示的具有一系列辅助最大值的曲线。
这个图表明幅度是θ的强函数。在下一章将学到,电子强度与幅度的平方成正比。这就是我们在图像和衍射花样中实际观察到的量。负幅度在物理上没有意义。因此散射电子的强度同样是θ的强函数。
有限宽度狭缝的影响
如果允许狭缝具有一定宽度会如何呢?图7展示了这种情况。现在来自单个狭缝内的光线会相互干涉。我们可以将单个宽狭缝看作许多宽度为dw的相邻窄缝。
想象将一个狭缝分成11个宽度为dw/11的小狭缝。这样的狭缝会产生图8所示的相量图。如果继续细分,使dw越来越小,相量图就变成一条平滑曲线。图9显示了几个不同θ值对应的情况,替代了图8中的多边形。

图7. 单个狭缝散射的几何示意图。

图8. 如何将单个狭缝内的相量相加得到图7中所示的狭缝总相量。

图9. 单缝如何产生在图7中对于某些y值振幅为零的光束。这些圆与图6中的多面体直接可比。每个图中相量增量(来自每个dy)的总长度是相同的。
进行完整分析后会发现,单个狭缝的幅度变化遵循A = A₀{sinφ/φ}的规律。其中φ是宽度为w的狭缝对应的相位πw sinθ/λ。这让人想起图5的分析。对于单个狭缝,当φ = nπ时,相量图中出现零点。
如果绘制强度而不是幅度,就得到图10中显示的艾里函数曲线。以艾里命名的圆盘,半径为r=1.22λ/D,是TEM中可实现分辨率的基本限制之一。如果在任何显微镜中引入光阑,都会限制仪器的最终分辨率。

图10. 图中所示为图7中狭缝散射产生的光强分布图;这被称为单狭缝的夫琅禾费衍射图样;w为图7中定义的狭缝宽度。
圆孔衍射的实际意义
在不涉及复杂数学的情况下,我们可以用直径为D的圆孔替换宽度为w的狭缝。幅度对θ曲线的峰宽在1.22λ/D处达到最大值。图11显示了这种情况,它是图10的三维表示。不过第三个维度是强度I,而不是归一化强度I/I₀。

图11. 由0.5毫米直径的圆形光阑产生的可见光强度和观察到的艾里环(插图)。中央亮区的宽度为1.22λ/D。
由于光阑的圆形对称性,得到1.22这个系数需要使用贝塞尔函数进行计算。
随着光阑直径D的减少,最小可分辨间距r会增加。这意味着分辨能力变差。艾里盘直径的表达式还显示,随着波长λ减少,r也减少。因此通过增加TEM的加速电压来减小λ,可以改善分辨率。
这个分析对TEM极其重要。换句话说,狭缝和孔的衍射分析实际上就是应用几何学于光学的结果。这就是几何光学的本质。
相长干涉
为了深入理解这些现象,我们考虑用常规幅度和相位描述的无限平面波。标准的波函数表达式为:
ψ = ψ₀ exp[iφ]
这里ψ₀是波的幅度,φ是波的相位。相位取决于空间位置x。如果路径长度改变一个波长λ,相位差就是2π。
任何两个单色波之间的相位差Δφ与它们从源到探测器的路径差Δx直接相关。这两个量之间的关系是:
Δφ = (2π/λ) Δx
这种相长干涉现象正是我们在图6中讨论的内容。波之间的相长干涉基于一个基本事实:当考虑相位时,波的幅度会相加。
如果希望样品中所有原子散射的波都发生相长干涉,它们的相位差必须是2π的整数倍。这个条件要求所有波的路径差是入射波波长的整数倍。我们可以通过要求散射中心周期性排列来满足这个条件。幸运的是,所有晶体材料都具有这种周期性。
因此相长干涉的数学描述得到了大大简化。这里的关键在于,这个分析最初是为X射线建立的,对电子没有任何改变。这是因为它不依赖于具体的散射机制,只依赖于几何学原理。
关于角度的说明
角度在TEM中极其重要。我们指的是半角,这一点需要始终记住。操作员可以控制其中一些角度,样品则控制其他角度。为了保持术语的一致性,我们需要明确定义不同的角度。
我们可以控制电子在样品上的入射角。这个入射角定义为α,图12清楚地显示了这个角度。在TEM中,我们使用光阑或探测器来收集散射电子的某个比例。任何这样的收集角都定义为β。

图12. TEM中主要角度(即半角)的定义。任何束流的入射/会聚角为α;任何收集角为β,一般散射角为θ。所有角度均从光轴测量,光轴是沿TEM镜筒长度的假想线。
所有由样品控制的散射角都定义为θ。这可能是特定的角度,比如两倍布拉格角,此时θ = 2θB。也可能是一般的散射角θ。因此θ是衍射的散射半角,尽管它表示的是2θB。
实际上,TEM中几乎所有感兴趣的角度都用半角给出。唯一的例外是XEDS探测器收集X射线的立体角。它是X射线产生总立体角4π sr中极小的一部分,传统上用全收集角表示。
电子衍射花样
我们已经多次提到TEM独特地适合利用电子散射。它能够形成散射电子分布的图像,也就是衍射花样。
要完全理解衍射花样在TEM中的形成过程,需要先了解电子透镜的工作原理。然后需要了解如何结合几个透镜创建TEM成像系统。
在深入这些概念之前,值得先展示TEM中可以形成的多种衍射花样。现在只需想象一张照相胶片直接放在薄样品后面。被样品散射的电子直接撞击胶片。散射角越大,电子撞击胶片的位置就越偏离中心。
即使用这个简单的描述,也能理解衍射花样的基本特征。图13是几种衍射花样的合集。所有这些都可以在TEM中常规获得。可以看到我们关于散射的几个要点在花样中直观地体现出来。

图13. 在常规100-kV透射电子显微镜中从各种材料获得的几种衍射图样:(A)非晶碳,(B)铝单晶,(C)多晶金,(D)用会聚电子束照射的硅。在所有情况下,电子直射束产生了图样中心的亮点,而散射束则形成了直射束周围的斑点或环。
首先,大部分强度集中在直射束中,也就是花样的中心。这意味着大多数电子似乎直接穿过样品。其次,散射强度随着θ增加而减少。这对应于距离直射束越远强度越弱,反映了散射截面随θ增加而减少的规律。第三,散射强度随样品结构发生显著变化。
因此在衍射花样中,胶片上的距离直接对应于样品处的散射角。散射角度与衍射花样中距离的这种对应关系,与图像的通常解释完全不同。在图像中,距离对应于样品中的实际距离。但这种角度–距离对应关系对理解衍射花样至关重要。
到目前为止,我们只考虑了电子波的幅度和强度,忽略了相位。当波被散射时,相对于入射波会改变相位。这是因为波无法改变方向的同时与未散射的波保持同步。
散射波的相位在相位对比图像中最为重要。直到最近,这些图像一直是高分辨率、原子级成像的主要形式。当我们考虑衍射电子束的强度以及衍射对比图像中的强度时,也会遇到散射波相位的重要性。
现在需要了解的关键点是,电子束中的电子在撞击样品时是同相的。任何形式的散射过程都会导致散射束和直射束之间产生相位差。
章节总结
电子之所以被强烈散射,是因为它们是带电粒子。这是与X射线相比的重大差别。电子被电子云和原子核同时散射。X射线只被电子云散射。对于倾向于深入物理学的读者,量子力学计算确实给出与库仑力经典计算相同的分布结果。
本章定义了四个重要参数,它们贯穿整个电子显微镜学理论。σatom表示单个原子的散射截面。σtotal表示在样品中行进单位距离时的散射事件数。dσ/dΩ是单个原子的微分散射截面。λ是电子在散射事件之间的平均自由程,也就是行进的平均距离。
关于术语使用的说明也很重要。我们应该讨论电子散射还是电子的散射?从语法角度看,电子被散射,我们观察这种散射过程的结果。但实际上我们看到的是电子散射这种可以测量的现象。不过一直以来,我们都使用scattering来表示这种效应。这种做法与流行用法一致,可以追溯到布拉格等人的早期开创性工作。
电子散射这个主题贯穿整个教材,连接了TEM的所有方面。从基础的散射理论到实际的成像应用,从衍射分析到光谱学研究,都建立在对电子散射深刻理解的基础上。
参考资料
Williams D B D B , Carter C B .Transmission Electron Microscopy: A Textbook for Materials Science[M].Plenum Press