作者:孙千 本文转载自公众号:老千和他的朋友们。原文地址:https://mp.weixin.qq.com/s/JaziKXnoSWiBopGNj1ZHaw
弹性散射电子是TEM图像衬度的主要来源,同时也产生衍射图样(DPs)的大部分强度,因此理解控制这一过程的因素至关重要。我们将首先考察来自单个孤立原子的弹性散射,然后探讨样品中多个原子协同产生的弹性散射现象。
来自孤立原子的散射可能通过两种方式发生:电子与带负电的电子云相互作用,导致仅几度的角度偏转;或者被正核吸引,使电子散射到更大角度,最高可达180°。这种散射过程通常可以用类似撞球碰撞的粒子–粒子相互作用、截面和平均自由程来解释。
我们将引入卢瑟福微分截面,它阐释了高角度弹性散射对原子序数(Z)的强烈依赖性。当我们将电子视为波时,其相干性变得至关重要。散射电子的相干性与散射角(θ)密切相关。随着角度增大,相干程度减小,卢瑟福散射到高角度的电子呈现非相干特性。
与卢瑟福散射形成对比的是,通过小角度(我们定义为<3°)弹性散射的电子是相干的。这种小角度散射的强度受样品中原子排列的强烈影响。原子的这种集体散射被称为衍射,只有将电子视为波才能理解。衍射主要由电子束对样品中原子平面的入射角、平面间距以及平面内原子间距离控制。因此,这种小角度相干散射对表征样品的晶体学特性极为宝贵,无疑是TEM中最重要的散射现象。
因此,在讨论弹性散射时,我们经常需要同时运用波粒二象性,因为完整理解散射过程需要这两种观点。
电子的双重性质
电子束与TEM样品相互作用有两种看法:把电子当粒子,或者当波。
当粒子时,电子有这些特点:有散射截面和微分截面,能被散射一定角度(用半角表示),通过库仑力与原子核和电子云作用。这种处理方法就像撞球一样,可以借鉴α粒子散射的分析方法。
当波时,电子束是平面波:被原子衍射,散射强度由原子散射幅度决定,当原子聚集形成固体时,在固体中衍射更复杂,但这是TEM的核心。可以借用X射线衍射的分析方法。
讨论X射线和电子能谱时我们用粒子描述。讨论成像、HRTEM和衍射图样时我们用波描述。
弹性散射的基本机制
前面我们简单表述过,电子穿过样品要么被散射要么不被散射,要么失去能量要么不失去能量。现在要详细说明散射是怎么发生的。本章只讲弹性散射,非弹性散射留到后面讨论。
弹性散射分两种:单个原子的散射和多个原子的集体散射。我们从单电子与孤立原子的作用开始。
单原子散射有两种途径,都涉及库仑力。如图1,电子可能撞到电子云,产生小角度偏转。或者电子穿透电子云接近原子核,被强烈吸引,散射到大角度,TEM中罕见情况下可达180°背散射。
干涉:这些小波在某些角度方向上相互加强,在其他方向上相互抵消:加强和抵消都是极其有用的现象。

图1 | 孤立原子可通过两种机制散射高能电子。电子云内的库仑相互作用导致小角度散射;原子核的库仑吸引力引起较大角度散射(当γ > 90°时可能发生完全背散射)。电子云内的电势始终为正值。
实际上很多电子–电子作用是非弹性的,下章会讲到。例如,核相互作用可能导致产生韧致辐射X射线,甚至可能导致原子从其在晶体中的位置发生位移,这两种情况都涉及电子的一些能量损失。从样品中出现的电子的散射角度越高,它在通过样品过程中经历非弹性事件的可能性越大。不过本章我们暂时忽略非弹性效应。
第二种弹性散射是电子波与整个样品作用,最著名的就是衍射。衍射在小散射角时特别重要。理解衍射要把电子束当成波,不是粒子。
按照惠更斯的光衍射理论,样品中每个原子都像次级球面小波的源,见图2。这些小波在某些方向相互加强,在另一些方向相互抵消。所以小角度弹性散射被样品晶体结构改变,在特定角度出现强衍射束。最小角度散射的叫一级束,后面也会详细讲。
散射角:弹性电子–电子相互作用通常导致相对较低的散射角,而电子–核相互作用引起更高角度的散射。

图2 | 平面相干电子波从一排散射中心(如样品中的原子)产生次级小波。次级小波发生干涉,形成一个强的直射(零级)束和若干个在特定角度散射(衍射)的(高级)相干束。
要知道这两种作用都可能不是真正弹性的,所以分成弹性和非弹性只是简化处理。
孤立原子的弹性散射
我们先用撞球方法详细研究这两种散射,然后简单说波散射,看它怎么与粒子处理相关。后面用波方法全面分析衍射。
看图1中电子与孤立原子作用的两种路径。不管是与核还是电子作用更强,电子都会散射一个角度θ。
考虑一个电荷为e的电子,被电压V加速后与孤立原子散射。电子–电子和电子–核散射路径都是双曲线,用两个简单方程表示:
re=e/Vθ (1) rn=Ze/Vθ (2)
这里r是散射场半径。散射角>θ的截面由核的πrn²和电子云中Z个电子的Zπre²组成。
把两部分加起来,再乘以N₀ρt/A,就能了解厚度为t薄膜的总弹性散射。Hall说这方法“在很多方面有缺陷“,但能让你定性理解影响弹性散射的各种参数。
可以看出原子序数Z控制与核的作用,电子–电子散射主要看入射束能量V。V要用静电单位才对。在后续的课程会看到,要增强低Z材料(聚合物、生物组织)的散射来改善TEM图像对比度时,Z的强烈影响很重要。
当电子靠近核时rn很小,角度θ就很大。这种θ依赖性直接影响TEM图像对比度。电子束能量也能控制图像对比度。所以Z、V、θ都影响图像对比度,这就是你必须学习电子散射物理的三个主要原因。
卢瑟福截面
接下来我们忽略小角度电子–电子散射,只看核散射。高角度电子–核作用类似α粒子从金属箔背散射。
1911年Geiger(就是发明盖勒计数器那个)和本科生Marsden首先观察到这种背散射,让他们老师Rutherford发现了原子核。永远别小看本科生的研究!Rutherford说这是“我遇到的最不可思议的事“,要知道他1908年就得了诺贝尔化学奖。
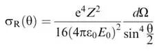
Rutherford推导出核引起的高角度散射微分截面:

方程里的项都定义过了。这个式子忽略了相对论效应,假设电子不会通过非弹性过程失去太多能量,所以电子能量E₀(keV)是固定的。虽然严格说不准确,但TEM中(至少100 keV以下)这些假设可以接受。
弹性电子–电子作用通常导致较低散射角,电子–核作用引起更高散射角。
卢瑟福截面的修正
你经常会看到卢瑟福截面的不同形式。比如方程忽略了电子云的屏蔽效应。屏蔽让核对电子显得没那么正,虽然电子云总电荷还是正的。所以截面减小,散射降低。
屏蔽只在电子离核远时重要,这时散射角很小(<3°)。考虑屏蔽时,用[sin²(θ/2) + (θ₀/2)²]替换sin²(θ/2),屏蔽参数θ₀为:

E₀用keV。屏蔽参数可以用特定散射角θ₀描述。散射角大于θ₀时,电子–核作用占主导。100 keV时Cu的θ₀只有2°,轻元素更小。所以几度以上的散射都可以当成卢瑟福高角度散射。
前面的方程都是非相对论的,这有问题。TEM中大多数材料研究用的电子能量>100 keV,相对论效应很明显。好在可以用λR(相对论修正波长)和a₀(玻尔半径)容易修正:

ε₀是介电常数。用常数算出a₀ = 0.0529 nm,年纪大的人可以记成0.5 Å。
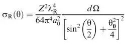
加上屏蔽和相对论修正的最终结果:

这是屏蔽的相对论卢瑟福截面。加入屏蔽的重要作用是散射角趋向零时截面不会无穷大,解决了简单方程的重要问题。
屏蔽卢瑟福截面在TEM计算中用得最多。但在最高电压(300-400 kV)和重元素(Z>30)时有限制,因为这些会让电子大角度散射。这种情况要用Mott截面,要详细了解,需要参考Mott和Massey文献。
像处理基本截面一样,积分这个式子能得到特定角度范围的总截面。代入常数值,从θ积分到π,得到散射角>θ的总核截面(单位:散射事件/电子/原子/m²):

你应该能算出散射角<θ的概率积分。又看到束能量E₀、散射角θ、原子序数Z都影响电子被核散射的概率。假设θ很小来简化这个式子,你能看出与Hall说的不太准确的核散射方程有些相似。
但整个散射过程比这里讲的复杂得多。真正理解重要性后,应该读Newbury(1986)和Jones(1992)的进一步讨论。
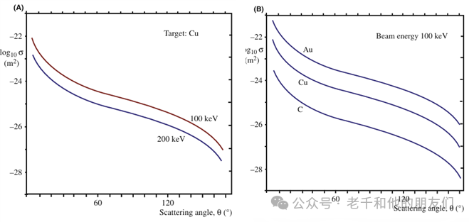
用数据最能说明截面特性。图3显示方程的屏蔽卢瑟福截面随散射角变化,包括三种元素和两种束能量。Cu的散射角从0°到180°时,截面从10⁻²²降到10⁻²⁸ m²,降了好几个数量级。所以散射最可能在前向(θ ≈ 0°)发生,几度以上急剧下降。

图3 | 屏蔽相对论卢瑟福截面对数随散射角的变化关系,描述了散射角大于γ时电子散射截面的变化:(A) 100 keV下不同元素的情况;(B) 不同加速电压下铜的散射情况。
Z从碳增到金,截面增加100倍。所以想“看透“高Z材料需要更薄的TEM样品。电子束能量翻倍,截面降低2-3倍。所以其他条件相同时,高能电子比低能电子更不容易被样品散射。
图4画出弹性散射的平均自由程。如果样品厚度<100 nm,很少发生高角度弹性散射。这样的样品里大多数电子要么单次散射要么不散射。我们把这种简化当成电镜实际情况的合理近似,本文会多次用到。这解释了为什么TEM研究中“越薄越好“。

图4 | 四种不同元素的弹性散射平均自由程随束流能量的变化,计算时采用屏蔽相对论性卢瑟福散射截面。
散射电子的相干性
前面我们把电子当粒子,但看散射电子的波性质会有用的发现。高角度卢瑟福散射电子是非相干的,就是它们之间没有相位关系。虽然我们在散射粒子,但这是个棘手概念。
散射电子的相干性与散射角θ有关。角度越大,相干性越小。卢瑟福散射的高角度电子是非相干的。
相反,小角度(<3°)弹性散射电子是相干的。这种散射强度受样品中原子排列强烈影响。前面介绍过,这种原子集体散射叫衍射,只有把电子当波才能理解。衍射主要由电子束对原子平面的入射角、平面间距和平面内原子距离控制。所以这种小角度相干散射对表征样品晶体学性质很宝贵,无疑是TEM中最重要的散射现象。
非相干散射有两个重要用途。第一,高角度前向散射能形成超高分辨率晶体图像。图像对比度只由Z值决定,不受样品取向影响,不像小角度相干衍射那样。后续的内容会看到,这种Z对比度图像提供原子分辨率的元素分析,还能显示不同Z区域界面的原子细节。
对大多数人来说Z对比度成像是较新技术,但自从有了Cs校正器,它一直保持TEM最高分辨率图像记录,正在改变我们对晶体缺陷原子结构和化学的理解。
第二,重要性小一些,高角度背散射电子(BSE)能给样品表面成像。对比度来自Z差异和表面形貌变化。TEM中很少用BSE图像,因为信号太弱。蒙特卡罗模拟,Cu中1000个电子只有约3个(0.3%)背散射。所以信号质量差,图像有噪声,对比度低。
SEM中块体样品对比度好得多,有更多电子背散射,Cu中约30%。BSE在SEM中提供稳定高对比度成像,能区分相邻元素。原则上Z对比度在TEM中也能这样。
原子散射因子
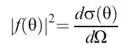
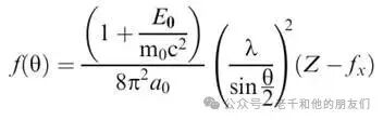
经典卢瑟福截面不能精确计算,因为忽略了电子束的波性质。完整处理涉及波动力学,超出本文范围。波方法处理截面最熟悉的可能是原子散射因子f(θ)。
它与微分弹性截面有简单关系:

f(θ)是从孤立原子散射的电子波幅度大小。|f(θ)|²与散射强度成正比。散射强度在图像和衍射图样中很重要,所以f(θ)是TEM的关键参数。
散射因子方法与卢瑟福截面分析互补,最适合描述小角度(<3°)弹性散射,这里卢瑟福模型不合适。通常f(θ)定义为:

所有项都定义过了。注意删除了屏蔽项。更详细方法可查Reimer的物理学书籍
现在以波形式思考,需要波长λ,由束能量E₀控制。fx是已知的X射线散射因子。TEM电子散射因子最常引用Doyle和Turner(1968)的经典工作,但现在软件包里能找到数值。甚至可以用NIST数据库免费软件自己计算。方程中fx的出现提醒我们f(θ)是电子波性质的基本结果。
可以画出单个原子的角度变化。图5总结了我们知道的弹性散射强度信息:随θ增加而减少(入射束方向θ = 0°),随λ减少而减少(即加速电压V增加),对任何θ值都随Z增加。原子散射因子f(θ)依赖λ、θ、Z。

图5. 原子散射因子f(y)随散射角y的变化(根据方程计算),显示弹性散射随着偏离入射束方向的角度增大而减小(y=0°),并随原子序数Z的增加而增强。
方程的f(θ)包含弹性核散射(Z项)和弹性电子云散射(fx项)。后续的衍射章节会看到专门使用f(θ)方法。忽略fx项时,能证明|f(θ)|²在数学上等价于高角度卢瑟福截面。这样我们就把弹性散射的粒子和波方法联系起来了。
所以讨论弹性散射时经常同时用波粒二象性,理解散射过程两种思路都必要。
原子散射因子的波动力学起源
f(θ)与散射波的幅度相关,我们需要简要考虑它是如何产生的。以下分析不是完全严格的,只是给出f(θ)含义及其与微分散射截面关系的基本思想。你可以安全地推迟研究这个主题,直到好奇心获胜,然后去读真正厚的物理教科书。
要找到总弹性散射截面,我们必须积分dσ/dΩ。这是粒子模型,但你也要意识到电子波动性质是如何引入的。通过图6可以考虑波性质,你应该意识到这与图3密切相关。
我们可以把入射束描述为幅度ψ₀、相位2πkr的波:

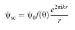
这个相位定义中,k是波矢量大小,r是波传播距离。入射平面波被点电荷散射时产生球形散射波。它有不同幅度ψsc但保持相同相位,除了π/2的附加,稍后会回到:

这个方程中,f(θ)是ψ₀ = 1时我们会有的幅度,即原子散射幅度。微分截面和散射因子都只是电子散射强度随θ变化的量度。
因此我们显然需要知道f(θ),需要可接受的模型让问题可处理。到目前为止处理相当严格,理想情况下模型应该区分金属中性原子、共价键合原子和离子。绝望时,f(θ)总是原则上可以从薛定谔方程计算。但实践中我们通常用简单近似。
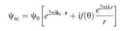
如果写下图6散射过程的表达式:

首先要注意,像通常的惠更斯小波一样,入射束和散射束间有90°相移,通过第二项中的‘i’显示。其次,f(θ)可以表示为:

这意味着f(θ)的相位χ(θ)也依赖散射角θ。

图6 | 平面波(水平线,波长为l)与点电荷相互作用产生散射波。圆圈代表同相的散射球面波前,保持原有的波长l。平面波和球面波之间的同相建设性干涉用深色区域表示。
我们引入了两个波传播参数:入射平面波的矢量k₁和球形散射小波的标量k。把2π因子作为相位项一部分单独写出,我们隐含定义k为1/λ。许多物理教科书在k中包含2π,所以它们的k是2π/λ。比较两本教科书的类似公式时要小心。
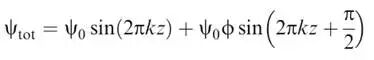
散射波的90°相变可以这样理解。如果波幅度最初是ψ₀sin(2πkr),通过样品后变成ψtot。散射后相位增加φ,所以新的ψtot表示为:

如果φ很小,那么cos φ ≈ 1且sin φ ≈ φ。cos θ总是与sin(θ + π/2)相同,因此:

用指数而不是正弦表示相位,π/2项就出现了,所以方程写成:

这与之前的方程形式相同。
晶体结构的集体散射效应:结构因子F(θ)
讨论电子散射的下一步是从个别原子散射f(θ)扩展到原子在晶体结构中规律堆叠的情况。原则上也可以对非晶固体这样做,但为简单起见我们只讲晶体。
现在可以介绍结构因子F(θ),它是晶体结构单胞散射幅度的量度。因为F(θ)像f(θ)一样是幅度,也有长度量纲。我们可以把F(θ)定义为单胞中所有i个原子的f(θ)项的总和。原子坐标为xi yi zi,乘以相位因子。相位因子考虑了从具有相同Miller指数(hkl)的不同但平行原子平面散射的波之间的相位差。散射角θ是入射和散射电子束间的角度。所以:

有时k = 1/λ,有时k = 2π/λ,有时很难找出用的哪个定义。
散射幅度及其平方(强度)受原子类型f(θ)、原子在单胞中的位置(x,y,z)和构成晶体结构的特定原子平面(hkl)影响。这些都不令人惊讶。但结果表明这个方程预测某些情况下散射幅度为零。这种行为是散射过程固有的,在图2中是隐含的。在TEM确定晶体结构时通常是非常有用的诊断测试。
在特定条件下,晶体中电子散射可能导致零散射强度。为什么会这样?后面会更详细回到这点。
衍射的基本概念和数学描述
前面提到,电子衍射是TEM中迄今最重要的散射现象。这种重要性的原因,是我们可以用衍射确定晶体中平面间距。后面的课程也会讨论,有个完整领域叫电子晶体学,从空间群对称数据到单胞尺寸提供前所未有的晶体学信息。最基本层面上,不同晶体结构中面间距是该结构的特征。
衍射电子束位置由单胞大小和形状决定。衍射束强度由样品中原子分布、数量和类型控制。我们可以理解衍射是如何导致TEM图像对比度,这由晶体相对电子束的取向控制,可以通过倾斜样品来控制。
很容易定性看到衍射如何修改f(θ)描述的小角度散射分布,图5显示了单原子情况。考虑样品中原子排列影响时,图5必须修改。
非晶样品中原子几乎(但不完全)随机排列。随机排列导致类似图5的图,但非晶结构中某些原子间距倾向出现,比如第一、第二近邻距离通常相对明确。结果,衍射幅度(因此强度)在某些角度比其他角度更强,所以TEM屏幕上看到弥散亮环。
晶体样品中,衍射束强度在特定角度达到最大值,因为面间距非常明确。图7A和B中f(θ)随θ变化分别等价于衍射图样的径向强度变化,强调了f(θ)和衍射强度间的强关系。我们可以通过观察和测量衍射图样来区分不同晶体结构。衍射图样和电子图像的组合是表征晶体特别是其缺陷的最强大工具。

图7| 对于(A)非晶样品和(B)晶体样品,f(y)随y的变化。散射的振幅(因此强度)通常随着y的增加而减小,但在某些散射角处这种平滑的减小会发生改变。
电子波干涉与衍射束形成
解释小角度弹性散射(主要来自电子云)最好用电子波思考,而不是表征高角度卢瑟福散射的粒子相互作用。回看图2,散射中心(狭缝)的周期性一维阵列,单色波(固定λ)向这些中心前进。每个中心都是相同λ波的新源。产生许多新波,多个波存在时可以相互干涉。
这个过程从最薄样品就开始,完全是波现象。不需要截面等概念,那是把电子当粒子时用的。波理论规则是波同相时相互加强(相长干涉),异相时相互抵消(相消干涉)。图2中看到衍射波只在某些方向彼此同相。
总有一个零级波沿入射波相同方向进行,TEM中叫直射电子束。还有高级波在前向传播,与入射波成某个固定但很小的角度,叫衍射束。
因此衍射相对单个单色入射束产生许多以特定角度传播的电子束。第二课衍射章节会找到测量这些角度并与散射平面间距关联的方法。直射束由沿入射束相同方向散射的电子组成。TEM术语中这些电子通常叫透射束,但这个术语模糊,因为实际上所有前向散射束都“透射“通过样品。
衍射方程的历史发展
用衍射探测材料原子结构的想法归功于德国von Laue(1913),虽然其他人如Ewald同时研究类似想法。Von Laue的关键想法是比光短得多的电磁射线会在晶体中引起衍射或干涉现象。尽管他讨论这想法的同事Sommerfeld滑雪时不同意这个想法,但Sommerfeld助手之一Friedrich和Knipping通过照射硫酸铜晶体实验测试了这想法。他们成为第一个观察晶体平面衍射的人。事实上CuSO₄能衍射X射线非常幸运,因为控制衍射的严格方程。

图8. 冯·劳厄用于计算波(波长λ)路径差的方法。在这个一维图中,波以角度γ1入射,并以角度γ2从相距a的两个原子(B和C)处散射。散射波之间的路径差为AB-CD。
Von Laue用已知的光学方法论证,如果相邻散射中心散射波间的路径差是波长整数倍hλ(h是整数),衍射波是同相的。如图8,如果散射中心(B和C)间距为a,入射束(波长λ)与连接散射中心的线成角度θ₁并在角度θ₂处衍射,那么路径差AB – CD是:
a(cosθ1−cosθ2)=hλ
三维中,可以为另外两个距离b和c以及适当角度θn写出另外两个Laue方程:
λb(cosθ3−cosθ4)=kλ
λc(cosθ5−cosθ6)=lλ
这三个联立方程以von Laue命名。由于他的原始建议和对Sommerfeld学生实验的分析,他1914年获得诺贝尔物理学奖。不错的工作:三个方程。
TEM样品中当所有三个Laue方程同时满足时产生衍射束。字母hkl是衍射束的指数,等价于衍射晶体平面的Miller指数(hkl)或其某个倍数。
布拉格定律的简化描述
TEM中通常用更简单方法描述衍射。Von Laue方法被英国Sir William H.(父亲)和W. Lawrence Bragg(儿子)家族团队简化。他们提出(Bragg和Bragg 1913)波的行为就像从原子平面反射一样,如图9。

图9. 布拉格对衍射的描述,即平面波(波长为λ)以角度θ入射到间距为d的原子平面上的反射。反射波之间的光程差为AB+BC。
与von Laue光学方法平行,Bragg论证从相邻散射中心反射的波必须有等于波长整数倍的路径差,如果要保持同相。TEM中,从图9上下平面反射的电子波间路径差是(AB + BC)。如果“反射“hkl平面间距为d,波以角度θB入射和反射,AB和BC都等于d sin θB,总路径差是2d sin θB。所以著名的布拉格定律(语法上和历史上应该是Braggs’):
nλ=2dsinθB
我们用θB表示布拉格角,这是TEM中最重要的散射角。记住我们实际指的是半角,本文中会多次遇到。Bragg也在von Laue之后一年获得诺贝尔物理学奖,但这次只有一个方程,更好的工作!尽管反射电子的想法虽然数学上正确,但物理上是错误的。
我们继续用布拉格反射这个术语描述TEM中的衍射,因为每个人都这样做。尽管它不准确,但极其有用。后续会以严格方式证明Bragg和von Laue方法的数学等价性。
从布拉格方程简单看出,更接近的原子平面产生更大散射角。这种反比关系(d与1/θ成正比)在衍射图样解释中非常重要。如果你知道入射电子的λ(通过选择加速电压控制)并且能实验测量θ,就可以计算样品中面间距。正是这种晶体学信息使衍射成为TEM如此重要的方面。
章节总结
本章有几个关键概念需要牢记。首先要熟悉三个核心参数:散射截面σ(θ)、微分散射截面dσ(θ)/dΩ和原子散射幅度f(θ)。这些术语在TEM中都很重要。f(θ)与σ(θ)的关系具有理论意义。f(θ)与衍射图样强度的关系更具实用价值。
电子是带电粒子,这决定了散射过程的基本特征。散射强度f(θ)与散射角θ成反比。角度依赖性贯穿所有散射现象。严格的散射理论很复杂,需要考虑波动力学、相对论和电荷效应。实际应用中可以使用现有数据表。
对于晶体材料,结构因子F(θ)很重要。它是单胞散射幅度的量度。|F(θ)|²决定散射强度。布拉格方程描述衍射过程。它揭示了面间距与散射角的反比关系。
最后要思考散射中心的本质。我们通常将原子视为散射中心。但如果原子以离子形式存在会怎样?不同化学键类型如何影响散射?共价键和金属键的差异是什么?这些问题的答案将在后续学习中揭示。