作者:孙千 本文转载自公众号:老千和他的朋友们。原文地址:https://mp.weixin.qq.com/s/C7nMbPj9I-o7mgXPVmTFOw
为什么非弹性散射值得我们关注?因为这类散射过程产生了多种信号,每种信号都能提供比弹性电子更丰富的样品化学信息。除了能量损失电子本身,最重要的信号包括特征X射线、二次电子,以及偶尔出现的可见光(阴极荧光,CL)。
因此,我们将重点阐述这些信号的产生机理,并解释它们对材料科学家、工程师和纳米技术研究者的应用价值。
然而,事物的另一面是,所有非弹性过程都会在样品中沉积能量,对于束流敏感的样品可能造成损伤。因此,我们还必须认识到非弹性过程的不利影响。
TEM中发生的非弹性过程
传统TEM历史上仅使用两种弹性信号:直射束和衍射束,这些信号构成了衍射图样。以这种经典方式操作TEM极其低效——我们丢弃了样品中包含在非弹性散射信号中的大量信息。
由于部分入射束电子发生了能量损失,所有这些信号都与电子能量损失光谱学(EELS)这一重要技术相关。EELS信号和伴随的X射线信号构成了分析电子显微学(AEM)的基础。
在寻求从样品中检测更多信号的过程中,我们发现实际上无法同时完成所有检测,也无法以相同的效率进行所有检测。尽管如此,现在各种分析TEM都能以某种形式检测所有信号。随着像差校正技术的出现,各种技术的空间分辨率和检测限已达到或接近单原子水平,因此非常适合纳米结构材料的表征。
因此,我们需要了解:
• 非弹性散射相互作用的本质是什么?
• 与各过程相关的能量损失范围是多少?
• 每个能量损失过程的发生概率如何?
• 各种能量损失电子的散射角度如何?
当高能电子遇到原子时,它首先穿透外层的松散结合电子云,然后穿过更紧密结合的内层(或芯层)电子,最后可能与原子核相互作用。这一系列非弹性散射产生不同的散射角,但能量损失与散射角之间没有简单的对应关系。
我们将非弹性过程分为三个组成部分:
• 产生X射线的过程
• 产生其他(二次)电子的过程
• 由与多个原子或电子集体相互作用产生的过程
我们对前两类过程理解得相当透彻,而第三类过程通常定义不够明确。图1显示了我们将讨论的最重要非弹性过程的截面数据。如图所示,弹性散射和一种非弹性过程(等离激元激发)是迄今为止最可能发生的事件,它们几乎占据了总散射截面的全部(需要注意的是,该图数据仅适用于小角散射)。

图1 | 铝中各种非弹性散射过程的截面与入射电子能量的关系,假设小角度散射(γ≈0°);等离激元(P)、K壳层和L壳层电离(K,L)、二次电子产生(SE)。为便于比较,同时给出了弹性截面(E)。这些数值对束流能量相对不敏感。
这些截面变化了几个数量级,仅此一点就能让您对各信号相对产生概率有所了解。我们将在描述每个具体散射事件时更详细地讨论特定的非弹性散射截面。
贯穿全书,我们将看到能量损失过程既有用又有害。例如,能量损失电子如何在衍射图样中产生菊池线,这些线条极其有用。相反,同样的一些能量损失电子会引起漫散射,降低所有衍射图样和图像的信噪比。如果样品足够厚,能量损失电子会掩盖所有有用的对比度信息。但我们后面将了解如何使用EELS从图像和衍射图样中过滤掉这些电子。这种过滤技术提高了图像和衍射图样的质量,并允许研究更厚的样品。
经验法则:电子在原子中穿透得越深,可能损失的能量越大。电子可能(但极其罕见地)在单次核相互作用中损失全部能量。
X射线发射
我们首先考虑X射线发射,因为它是样品中产生的最重要的二次信号。通过X射线,我们可以快速确定与电子束相互作用的样品部分的元素组成,也可以通过相对直接的方式定量各元素的含量。
产生的X射线有两种类型:
• 特征X射线:对纳米结构材料和晶体缺陷的局部元素分析极其有用
• 韧致辐射(连续)X射线:对生物学家有用,但通常被多数材料科学家视为干扰信号
特征X射线
特征X射线是如何产生的,它们是什么的“特征“?首先,高能电子束必须穿透外层导带/价带,与内壳(或芯层)电子相互作用。如果传递给内壳电子的能量超过临界值,该电子将被弹出——即逃脱原子核的束缚场,在内壳留下空穴。在孤立原子中,电子被弹出到真空;在固体中,它逃逸到费米能级以上的未填充态。此时原子处于激发态,因为它具有比基态更多的能量,我们称其被电离了。
电离原子可以通过外壳电子填充空穴的方式返回到(几乎)最低能量的基态。这种跃迁过程伴随着X射线或俄歇电子的发射。后一过程最早由俄歇(Auger,1925)描述,为他赢得了诺贝尔物理学奖。(由于发现者是法国人,我们将其姓名读作“Ozhay”,g音发软音如“beige”中的音。)
无论是X射线还是俄歇发射,发射的能量都是两个电子壳层能量差的特征值,这个能量差对每种原子都是唯一的。图2示意性地显示了X射线发射过程。

图2 | 电离过程。内层(K)壳层电子被高能电子从原子中击出。当L壳层电子填补K壳层空穴时,产生特征(Kα) X射线辐射。束流电子失去能量但继续穿过样品。
需要注意的是,除了电子轰击外,其他过程也可能产生特征X射线。例如,X射线轰击也可能导致电离,在这种情况下我们使用“荧光“一词。通常不将电子诱导的X射线发射称为荧光。
多年来,我们已经能够在电子显微镜中检测X射线,但俄歇电子通常在专用的俄歇电子谱仪(AES)中进行,也可以在超高真空(UHV)TEM中检测到俄歇信号。
要理解特征X射线的实用性和产生条件,需要了解电离过程的几个关键点:
• 什么是电子壳层?
• 为什么使用X射线谱线、族和权重这些术语?
• 什么是临界电离能和电离截面?
• 什么控制X射线能量和波长?
• 什么是荧光产额?
电子壳层:要理解这个术语,您必须熟悉原子结构的简单波尔理论,其中电子在特定壳层中绕核运动。(电子保持在各自壳层而不螺旋进入核内,是由于量子理论施加的约束。)
由于历史原因,最内层电子壳层称为K壳层,次内层是L壳层,再次是M壳层,依此类推,如图2所示。除K壳层外,所有壳层本身可能具有子壳层(如L₁、L₂等)。

图3 | 产生K、L和M特征X射线的所有可能电子跃迁的完整范围。并非所有这些X射线都能被透射电子显微镜中的X射线能谱仪检测到。
我们根据被填充的壳层和提供电子的壳层来命名特征X射线。(K、L、M等术语最初由早期X射线光谱学家Charles Barkla引入。巴克拉选择K作为第一壳层可能是因为他不确定是否需要J壳层,但知道需要L壳层!)
记住:两个壳层能量差等于特征X射线的能量。因此,如果用L壳层电子填充K壳层空穴,我们得到Kα X射线;如果用M壳层电子填充,我们得到Kβ X射线。如果空穴在L壳层,用M壳层填充得到Lα X射线,用N壳层填充得到Lβ X射线。
实际记号更加复杂,我们根据α₁和α₂区分α X射线,这取决于电子从外壳层的哪个子壳层跃迁来填充空穴。α₁ X射线来自最外层子壳层(如LIII或MV),α₂来自次外层(LII或MIV)。
为了更清楚地说明这一点,可以查看图3的图表,尽管它实际上可能让你更困惑,因为不清楚为什么在所有可能的电子跃迁中,只有一小部分产生足够的X射线供我们使用。可以说X射线物理学是一个深奥的学科。
幸运的是,对于TEM中的X射线检测,不需要担心这些细节,因为我们使用的检测器通常无法区分来自不同子壳层的X射线(除了在最高X射线能量时),所以K、L、M以及α、β大致就是需要记住的全部内容。
X射线谱线、族和权重:我们经常将特定的特征X射线称为“谱线“,因为它们最初在早期谱仪的照相底片上表现为线状。每条特征X射线谱线都具有特定的波长或能量。源自特定K、L或M壳层跃迁的谱线组通常称为“族“。
并非所有电子跃迁的概率都相等(想想截面的概念),这通过表1给出的X射线谱线的不同“权重“(即相对于最强谱线的相对强度)来体现。这些权重仅在给定的K、L或M族内重要,不涉及族间比较(如K对L),因为实验条件对各族X射线产生的影响不同。在TEM的X射线分析中,我们仅使用最强的谱线,通常是α谱线(或者如果谱仪无法分辨,则是α和β谱线)。
临界电离能:电子束必须向内壳电子传递超过某个值的能量才能使原子电离。这个能量称为临界电离能(Ec)。如果我们要产生有用数量的X射线,束流能量E₀必须显著大于Ec。当电子与核结合更紧密时,Ec值增加,因此对于给定元素,最内层壳层(K)的Ec比下一层壳层(L)高,依此类推。具有更高原子序数Z的原子有更多质子将芯电子束缚于核,因此具有更高的Ec。
如果查看X射线谱,可以看到这种效应:X射线峰的能量随原子序数增加而增加。由于壳层和原子种类众多,临界电离能的列表很长,任何X射线教科书都会提供。类似的列表也出现在EELS中,因为Ec显然对应于束流电子损失的临界能量,因此在能量损失谱中产生峰(通常称为边)。EELS边像特征X射线峰一样,也可用于唯一识别样品中特定元素的存在。
电离截面(σ):在低压SEM中,我们必须考虑另一个称为过压比的参数U,它是束流能量E₀与电离能Ec的比值。电离截面随U变化,如图4所示。该图表明,如果E₀接近Ec,电离发生的机会不大。然而,在TEM中E₀≈100 keV,Ec通常<20 keV,所以U通常>5。因此,预期都能产生X射线,截面随能量几乎保持恒定。

图4 | 电离截面随过电压的变化。当束流能量是临界电离能的5倍时,电离最可能发生。在更高的过电压下,截面会减小,但幅度不大,这是TEM的典型特征。
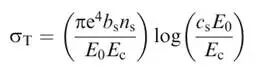
尽管有这种相对简单的行为,关于电离截面的绝对值仍有相当大的不确定性,因为在TEM电压下很少进行可靠的实验测量。大多数模型都是贝特(Bethe,1930)给出的原始表达式的变化,它将总(非微分)电离截面描述为:

其中唯一的新术语是ns(电离子壳中的电子数)以及βs和cs(该壳层的常数)。我们对电离过程中的任何角度变化都不特别关心。
贝特表达式的微分形式显示两个特征:
• 电离原子的电子偏转角度非常小(<10毫弧度)
• 产生的特征X射线在4π立体角上作为球面波均匀发射
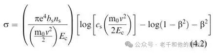
记住贝特表达式是非弹性截面,但像卢瑟福(弹性)截面一样,在TEM电子束能量下也需要对相对论效应进行校正。因此我们用m₀v²/2替代电子束能量,并引入标准相对论因子β (=v/c)(Williams 1933):

这个修正的贝特截面可以通过改变βs和cs来拟合几乎任何X射线数据,尽管这种参数化并不总是合理的。
X射线能量/波长:X射线是电磁辐射,因此我们通常将其视为具有特定波长λ的波。但是,就像电子一样,X射线可以显示粒子特性,此时我们将其描述为具有特定能量的光子,如EK或EL,其中下标指被弹出芯电子的壳层。X射线波长与其能量之间存在反比关系。
然而,有几个重要差异必须记住:
• X射线是电磁能量的光子,因此电子能量中的静质量和动量概念无关;X射线没有质量
• X射线像所有电磁辐射一样在真空中以光速(c)传播,因此我们不必随其能量增加而进行越来越多的相对论校正。量化的X射线能量简单地为hν,其中h是普朗克常数,ν是频率。为了以eV表示这种能量,我们将其等同于E,其中E是X射线能量。
因此:E=hν=λhc。由于h和c是常数,我们可以将适当单位的数值代入方程,发现X射线波长由下式给出:λ=1.24/E。其中λ以nm为单位,E以keV为单位。
这个表达式与我们在第1章给出的未校正电子波长表达式(1.22/E1/2)非常相似,其中E是电子能量(以eV为单位,不是keV)。你很容易混淆这两者,请小心。
因为X射线能量取决于内壳能量差,这些能量差随Z单调增加,我们可以使用检测特定能量的特征X射线作为样品中元素存在的鉴定标志(尽管这不一定意味着该元素是样品中固有的)。
样品的原子序数(Z)与X射线能量/波长关系的概念由才华横溢的年轻物理学家H.G.J. 莫斯利报告。在他发现后不久,莫斯利自愿参军。尽管才华出众,他被派往加里波利的战壕,1915年在能被提名诺贝尔奖之前迅速阵亡,这无疑是他应得的荣誉。他因莫斯利定律而被铭记,该定律声明:λ=B/(Z−C)2。其中B和C是常数。因此我们也可以生成与每个原子跃迁相关的X射线能量列表。
如果比较Ec值和相关的特征X射线能量,会发现它们并不完全相同。X射线能量EK或EL总是小于Ec。表2列出了一系列元素的临界电离能和相应X射线能量的比较。注意能量差异如何随Z增加而增大。

产生差异的原因是X射线发射时原子不会完全返回基态。如果填充电离内壳空穴的电子来自外壳,这个过程将在该外壳留下空穴。这个空穴也必须被另一个电子填充,可能发射另一个X射线(随Z增加更可能),如此继续,直到最终来自导带或价带的自由电子填充最外层芯壳中的最后空穴。
示例:Cu的K壳层电子需要8.993 keV的能量来电离(Ec = 8.993 keV)。原子内这种额外能量损失的一个可能首先产生Cu Kα X射线(8.048 keV),然后是Lα X射线(0.930 keV)。这些X射线能量总计8.978 keV,剩余的几eV可能来自M壳中的空穴被导带电子填充,发射光子或产生声子。
可能的变化极其复杂,受到Coster-Kronig跃迁等事件的影响,其中原子壳层在电子跃迁后重新排列能量。如果电离原子与不同原子结合,情况进一步复杂化,此时X射线能量可能略微偏移(<5 eV)。这些细节远超出现在需要了解的范围,但X射线光谱学教科书可提供更多信息。
荧光产额:记住电离原子不必通过发射特征X射线来失去能量,而是可以发射俄歇电子。X射线与俄歇发射的概率由荧光产额ω描述,它是X射线发射与内壳电离的比值。荧光产额是原子序数的强函数,如图5所示,随Z减小以与Z⁴成正比的速率递减。ω的常见表达式为:ω= Z4/a+Z4
其中对K壳层a ≈ 10⁶。虽然是近似值,该方程仍描述了对Z的强依赖性。对于碳(Z = 6),ω ≈ 10⁻³;对于锗(Z = 32),ω ≈ 0.5。

图5 | K壳层X射线荧光产额随原子序数的变化。注意在低原子序数时的快速下降。原子序数低于Be的元素产生的X射线无法检测到
因此必须电离1000个碳原子才能获得一个C Kα X射线,但只需两次电离就能产生一个Ge X射线。所以如果电离低Z原子,很可能看不到X射线,因此EDS不是分析轻元素的最佳方法;应该使用EELS,因为无论是否产生X射线,我们总能检测到能量损失电子。
韧致辐射X射线
如果电子束中的电子完全穿透电子壳层,它们可以与原子核产生非弹性相互作用。当电子与原子核的库仑(电荷)场相互作用时,可能经历实质性的动量变化,在此过程中可能发射X射线。由于电子可以损失任意数量的能量(取决于相互作用强度),这些X射线可以具有从零到电子束能量的任意能量值。这种X射线以其德语名称“Bremsstrahlung”而闻名,可译为“制动辐射“。
韧致辐射产生的概率通常由Kramers推导的截面描述。这个表达式经常用于薄TEM样品,尽管最初是为块体样品推导的。通常使用Kramers截面来预测韧致辐射的产生而非相互作用概率。常用的近似表达式为:N(E)=KZ (E0−E) /E
其中N(E)是能量为E的韧致辐射光子数(即强度),由能量为E₀的电子产生,K是克拉默斯常数,Z是电离原子的原子序数。
这个关系式预测,引起小能量损失的相互作用发生概率要大得多,而电子在原子核的一次减速中损失全部能量的情况极其罕见。因此韧致辐射强度随能量的变化如图6所示。

图6 | 韧致辐射X射线强度与能量的函数关系。产生的强度随X射线能量降低而快速增加,但在能量<2 keV时,韧致辐射被样品和所使用的探测器吸收,因此在探测谱中观察到的强度急剧下降至零。E0是引起X射线发射的电子能量。图中还显示了叠加在韧致辐射上的两个特征线族,它们位于特定能量处。
与特征X射线的各向同性发射相反,韧致辐射具有高度各向异性,表现出强烈的前向散射特征,这种趋势随E₀增加而增强。这种各向异性非常有用,因为它允许我们设计能够收集大量有用特征X射线而排斥相对无用韧致辐射X射线的谱仪。
韧致辐射具有连续能谱,我们刚才讨论的特征X射线叠加在其上,如图6的示意图和图4的实验数据所示。由于特征X射线具有窄能量范围,它们在谱图中表现为以特定能量为中心的尖峰,在显示器上由计算机生成的线条指示(这是称它们为“线“的另一个原因)。
韧致辐射强度取决于样品的平均原子序数Z,这对生物学家或对样品此方面感兴趣的聚合物科学家有用。然而,材料科学家通常将韧致辐射视为成功掩盖特征线的干扰信号。
二次电子发射
二次电子(SE)是样品内被入射电子束弹出的电子。
• 如果电子位于导带或价带中,弹出它们不需要太多能量,通常具有<50 eV的能量
• 如果电子是在电离原子返回基态时释放能量而被弹出的内壳电子,这些SE称为俄歇电子。这个过程通常称为非辐射跃迁(因为没有X射线从原子中发出),能量经历“内转换“。
历史上,SE通常仅在SEM相关研究中考虑,用于形成对表面形貌敏感的(通常令人惊叹的)图像。我们现在将讨论这些SE信号及其在TEM中的相对重要性。
二次电子
SE从样品中原子的导带或价带弹出。实际发射过程可能相当复杂,没有简单的截面模型涵盖所有产生机制。图1中的数据表明SE发射的概率比我们讨论的所有其他非弹性过程都要小得多,但仍产生足够多的SE使其在TEM中有用。
通常,SE被假定为自由电子,即它们不与特定原子关联,因此不包含特定的元素信息。由于SE能量较弱,只有当它们产生于样品表面附近时才能逃逸。因此我们在SEM中使用它们形成样品表面图像。虽然SE是SEM中使用的标准信号,但它们也用于STEM,在那里可以提供样品表面的超高分辨率形貌图像。
后面将讨论STEM中改善SE分辨率的几个原因。然而,高分辨率场发射枪(FEG)SEM的最新发展在30 kV下产生了<0.5 nm的SE图像分辨率(接近表面原子分辨率)。100 kV的STEM即使不使用FEG也能提供相似或更好的分辨率,因此SE极其有用。STEM中的像差校正自然带来了更高分辨率的SE图像,接近原子水平。
SE的数量确实与能量相关:它在约5 eV时上升到最大值,在能量>50 eV时下降到接近零。(在罕见情况下,强结合的内壳电子可以以高达束流能量约50%的能量被弹出。这种快速SE通常被忽略,因为它们似乎不会限制TEM中EDS的分辨率。)SE产额(SE数量/入射电子束的数量)通常被认为与E₀无关;如果存在任何Z依赖性(这仍是争论话题),那也非常微弱。
SE发射的角度分布并不重要,因为检测器使用强电场收集从任何角度从表面发出的SE。但SE的数量随样品倾斜而增加,因为当表面相对于束流倾斜时SE更容易逃逸。这种行为是SE发射的关键特征,因为它遵循朗伯特可见光反射的余弦定律,这解释了粗糙样品的SE图像与我们习惯用肉眼观察的日常反射光图像之间的巨大相似性。
俄歇电子
俄歇电子发射是电离原子返回基态时X射线发射的替代过程。图7显示了这种原子如何弹出外壳(俄歇)电子;与图2中的X射线发射进行比较是有益的。弹出的电子具有由原始激发能(Ec)与电子被弹出外壳的结合能之差给出的能量。这解释了用于描述每个俄歇电子的相当复杂的命名法。因此俄歇电子具有取决于电离原子电子结构的特征能量,几乎与相应的特征X射线能量相同。

图7 | 内层(K)壳层电离和随后的俄歇电子发射过程。当L1电子填补K壳层空穴时释放的能量传递给L2,3壳层中的一个电子,该电子作为KL1L2,3俄歇电子被射出。
由于俄歇电子能量如此之低,能够逃逸的俄歇电子来自非常接近样品表面的区域。它们包含化学信息,因此俄歇电子谱(AES)是公认的表面化学技术。
由于俄歇电子和特征X射线之间能量的相似性,你可能会问,为什么TEM中的轻元素X射线分析不只是表面技术?必须记住的是,特征X射线在样品中的吸收比相似能量的电子要弱得多。因此在薄TEM样品中产生的大多数X射线都能逃逸并被检测到。(这完全与最初相互作用的截面有关。)
因为俄歇发射是表面现象,样品表面状态至关重要。氧化或污染会阻碍对真实表面化学的可靠俄歇分析,所以我们只在超高真空(UHV)系统中进行AES。结果,俄歇信号传统上被电子显微镜学家忽略,被限制在表面化学领域,与ESCA和SIMS等技术并列。
然而,随着TEM真空度的提高,UHV STEM变得更加普遍,俄歇信号可能会受到更多关注。不幸的是,除非构建专用仪器(常规AEM分析困难),否则将俄歇系统连接到STEM并不简单,因此这样的研究仍然非常罕见。
电子–空穴对和阴极荧光(CL)
这两个信号密切相关。检测电子的一种方法是使用被高能电子撞击时产生电子–空穴对的半导体。如果样品恰好是直接带隙半导体,那么电子–空穴对将在其内部产生。
阴极荧光在图8中进行了示意性解释。发射的光子具有等于带隙能量(EG)除以普朗克常数(h)的频率(即颜色)。如果带隙因某种原因发生变化,将有光谱发射或光的颜色将根据观察样品的不同部分而变化。因此CL光谱学在半导体及其杂质效应研究中有应用价值。虽然CL的空间分辨率无法达到X射线或二次电子的纳米级水平,但它仍然在纳米尺度范围内,通常定义为<100 nm。

图8 | CL的示意图。(A) 束流电子与价带电子相互作用前的初始状态。(B) 价带电子被激发跃迁到导带,在价带中留下空穴。(C) 导带电子回落到价带空穴中填补空穴。在复合过程中发射出光子,其频率由带隙决定。
如果对样品施加偏压,或者它恰好是p-n结或肖特基势垒二极管,那么电子和空穴可以被内部偏压分离。如果您通过微安表将样品接地,可以拾取这种电荷。在这种情况下,样品充当自己的检测器!您检测到的电流有时称为电子束诱导(感生)电流(EBIC)信号。如果检测这个信号并用它形成图像,那么我们就在进行电荷收集显微学(CCM)。
CL和CCM操作模式是SEM中表征块体样品的标准方法。原则上,没有什么能阻止我们在STEM中做同样的事情,一些研究者已经构建了专用仪器,但通常TEM载物台中的可用空间限制了信号收集的效率。这可能会随着Cs校正而改善,但总的来说,这两种技术在TEM中仍然罕见,主要限于半导体研究。现在只需记住,CL和CCM是潜在强大但高度专业化的技术。
等离激元和声子
我们可以将这两种现象联系起来,因为它们都是我们所称的集体振荡的例子。
我们可以将等离激元类比为声波,因为它们是自由电子气的纵向振荡,产生如图9示意性显示的变化电子密度区域。这些振荡在不到一飞秒内被阻尼,波被局域化在<10 nm范围内。

图9 | 高能电子束激发金属中渗透离子实的自由电子气产生等离激元振荡的示意图
如果回到图1,会看到等离激元过程具有最大的截面,因此它是迄今为止材料中发生的最常见的非弹性相互作用。正如我们后面将要讨论的,等离激元峰是EELS谱的强特征。等离激元可以在任何具有弱结合或自由电子的材料中发生,但主要发生在金属中,特别是像铝这样具有大费米面因而具有高自由电子密度的金属。
等离激元振荡是量子化的,等离激元激发的平均自由程为100 nm,这种量子化使等离激元激发数成为测量样品厚度的有用方法。此外,等离激元能量是自由电子密度的函数,这随成分变化,所以等离激元激发在化学上是相关的,尽管我们很少将其用于元素分析。
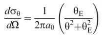
等离激元激发的微分截面具有一般洛伦兹形式:

其中a₀是玻尔半径,θ是散射角,θE是所谓的特征散射角,由EP/2E₀给出(考虑到TEM中E₀的大值,这总是很小)。由于EP(等离激元能量)几乎恒定(15-25 eV),截面是θ的强函数,在远大于10毫弧度的值处迅速下降到零,再次表明这种能量损失电子具有强前向散射特征。
当高能电子撞击样品中的原子时,晶格产生振动,就像用棍子敲击链环围栏一样。如图10所示,这个过程发生是因为所有原子都通过弹性连接在一起。声子也可以由原子内发生的其他非弹性过程产生;例如,俄歇或X射线发射或带间跃迁的能量有时在内部转化为晶格振动。任何原子的振动等效于加热样品,所有声子的净结果是样品升温,这对某些样品特别有害。

图10 | 晶格作为一组通过弹簧弹性连接的原子的示意图。当高能电子撞击时,化学键发生振动,产生晶格振荡或声子,这些振动相当于对样品进行加热。
入射电子可以在任何固体样品中产生声子,甚至在没有周期性晶体结构的非晶材料中也是如此。通常,声子振动引起<0.1 eV的非常小的能量损失,但声子损失电子散射到相当大的角度(5-15毫弧度),这些电子构成了衍射图样中布拉格强度最大值之间存在的漫散射背景强度。声子散射电子不携带有用的化学信息,也不携带对电镜学家有用的对比度。
确切知道声子散射截面并不重要,但记住声子散射随Z增加,依赖性约为Z3/2,这比真正的弹性散射依赖性稍弱,这是有用的。此外,由于温度对原子振动的影响,声子散射随温度升高而增加。这解释了热漫散射随温度增加,是我们冷却样品以获得良好、清晰衍射图样的主要原因之一。室温下声子散射的平均自由程从Au的几nm到Al的约350 nm不等,在液氦温度下这些值增加2-3倍。
我们不直接使用等离激元或声子形成图像(尽管原则上这是可能的),但我们检测引起它们的电子。我们将在后面讨论等离激元能量损失电子的(相当有限的)用途。
电子束损伤
非弹性碰撞带来了一个不幸的副作用:电子束损伤。我们通常不够精确地称这种现象为辐射损伤。损伤以某种形式影响样品的结构和/或化学性质,取决于入射束的能量。
某些材料比其他材料更易受影响,但最终可以损伤放入TEM中的几乎任何东西,特别是现在像差校正允许将更多电子电流聚焦到更小的束斑中。因此,损伤代表了TEM能力的真正物理极限,可以被认为是电镜学家的海森堡不确定性原理的类比,因为观察样品行为的行为本身可能改变样品。
另一方面,我们有时可以利用电子束损伤来促进某些原位转变,这些转变被损伤过程加速,或者我们可以使用电子损伤来模拟其他形式的辐射损伤。然而,一般来说,束流损伤必须被认为是不希望的。
损伤采取三种主要形式:
•辐解:非弹性散射(主要是电子–电子相互作用如电离)破坏某些材料如聚合物和碱卤化物的化学键
• 击出损伤或溅射:原子从晶格位移并产生点缺陷。如果原子从样品表面弹出,我们称之为溅射。如果电子束能量(E₀)足够高,这些过程是普遍存在的。
• 加热:声子加热样品,热是聚合物和生物组织损伤的主要来源。
我们将看到,矛盾的是,辐解在更高的E₀下减少,而击出损伤增加;所以有时没有办法绕过损伤问题——我们可能在所有能量下都会遇到损伤。如果样品可能被加热损伤,冷却样品显然会有帮助。
所有这些过程都发生在商业TEM可用的电压范围内,因此我们必须了解这些损伤。损伤的实际过程可能非常复杂,也因样品的特性而异。然而,我们要做的是描述不同材料中的基本过程,解释如何确定样品是否被损伤,并描述如何最小化或消除问题。
如果你需要了解更多关于辐射损伤的信息,Jenkins和Kirk的教材是很好的起点。但我们也应该预先指出,TEM的整个领域如原位研究和环境TEM实际上利用辐射损伤来增强特定反应。
下面我们开始对不同类型TEM样品损伤的简要概述。
电子剂量
在TEM中,我们将电子剂量定义为撞击样品的电荷密度(C/m²)。知道e = 1.6 × 10⁻¹⁹ C,很容易将其转换为每单位面积的电子数(通常是e/nm²)。这个术语与对人体的辐射效应不同,对于人体我们将剂量定义为每单位体积吸收的能量。人体剂量由戈瑞(Gy)定义,即每千克材料吸收1 J电离辐射,1 Gy = 100 rads(SI单位制之前)。
如果我们将入射电子剂量转换为吸收剂量,可以很容易地显示TEM内的电子暴露远远高于人体组织的致死限制,早期电镜学家偶尔以付出代价的方式发现了这一点(据我们所知,虽然没有发生死亡,但显然有人失去了手指)。虽然这个事实是关于TEM固有危险的另一个警告,但更相关的是提醒我们,电子束向样品输入了大量能量。幸运的是,电子束能量极少一部分传递给薄样品,大多数样品在这种否则环境中幸存下来。
样品加热
样品加热很难实验测量,因为许多变量可以影响结果,如样品的热导率、厚度和表面条件以及束斑尺寸、能量和电流。霍布斯计算了束流电流和热导率对样品温度的影响,如图11所示。从这些结果我们可以得出结论:作为一般规则,对于金属和其他良导体,在标准TEM条件下电子束加热可以忽略,但对于绝缘体,它可能相当显著。

图11 | 试样温度的增加与束流电流和试样热导率(k,单位为W/mK)的函数关系。图中标注了典型材料,但不应将其视为代表性材料,因为在任何一类材料中k值都存在显著差异。
因此,金属的电子束加热通常是最小的,但小陶瓷颗粒可能被电子束加热到1700°C的温度。如果良好的热导体与其周围环境热绝缘,也可能发生相当大的电子束加热。
聚合物中的束流损伤
聚合物对电子–电子相互作用特别敏感,因为这些相互作用可以破坏化学键创造新结构;我们称这个过程为辐解。
• 电子可以导致主聚合物链断裂,从而改变其基本结构
• 电子可以导致侧基断裂,留下反应性自由基,这些自由基可以交联形成新结构
以这种方式断裂聚合物链被称为剪切。一般来说,聚合物在电子辐照下表现出分解或交联的趋势。在前一种情况下,聚合物将继续失去质量,而在后一种情况下,聚合物最终主要转变为碳。
质量损失有时可以通过TEM中的EELS直接测量,也可以表现为样品的主要尺寸变化,因为最终在损伤区域出现孔洞;如果仔细观察,通常会看到图像对比度在孔洞出现之前就发生变化。
如果聚合物样品最初是结晶的,那么辐射损伤导致非晶化,我们可以从图像中衍射对比度的损失或衍射图样中尖峰的消失(逐渐被非晶结构特征的漫散射强度替代)定量测量。
有时可以通过用重金属如Pb或U染色来保存晶体结构。然而,每当染色样品时,都会影响其结构并改变化学性质,因此这并不理想。
可以使用几种方法来最小化聚合物中的束流损伤:
• 使用低剂量成像技术
• 将样品冷却到液氮温度或更低温度(如果可能)
• 用导电金属薄膜涂覆样品
• 使用STEM成像
如果必要,我们可以同时实施上述所有的方法。
除了这些实用方法,也可以通过减少非弹性散射截面来最小化电子束加热对损伤的贡献,即最高的可用电压。因此HVEM更适合研究热敏感材料。如果样品比非弹性相互作用的平均自由程更薄,那么传递给样品的能量更少,结果是由于加热效应的损伤更少。
共价和离子晶体中的电子束损伤
在共价和离子材料如陶瓷和矿物中,辐解可以通过一系列由电子束驱动的反应改变样品化学性质和可能的结构。主要负责辐解的非弹性相互作用是带间跃迁,类似于引起CL的跃迁。将价带电子移动到导带的跃迁在原能级留下空穴。与发射光子不同,电子和空穴可以通过称为激子的中间亚稳态部分复合,通过相当复杂的事件序列,可以产生阴离子空位和阳离子间隙。
结晶石英(尽管是极硬的材料)可以通过类似过程非晶化。辐解经常可能导致新化合物的形成,这些可以在形成时通过电子衍射和AEM原位识别。卤化银中银的形成是照相乳剂中有用辐解的(罕见)例子。因此,有些矛盾的是,如果我们使用照相胶片,我们依赖辐射损伤来记录我们在TEM中产生的信息。
我们不能简单地通过冷却或涂覆样品来阻止辐解,因为它不受传热考虑的影响。最好的方法是降低引发电子–电子相互作用的截面,我们可以通过使用更高电压和更薄样品来实现(更薄效果更好)。尽管如此,在观察某些陶瓷和矿物以及大多数聚合物时,辐解仍然是TEM的主要限制。
金属中的电子束损伤
金属损伤的主要方式是击出或位移/溅射损伤。这个过程通过将电子束能量直接传递给固体中的原子而发生,将它们从原子位置敲出并产生空位和间隙(或Frenkel对)的组合。为了将原子从其非常舒适和稳定的晶格位置踢出,电子束必须穿透到接近原子核的地方并被库仑吸引有效阻止,从而将其大部分甚至全部能量传递给原子。
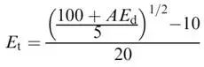
原子与其邻居结合的强度也将是一个因素。霍布斯给出的位移能Ed的简单表达式允许我们确定原子量为A的原子位移的阈值能量(Et):

其中Et以MeV为单位,Ed以eV为单位。Ed通常在5到50 eV范围内,但随键合类型而变化。如果能向原子传递超过阈值能量,那么将把它从其位置位移。这个概念在图12中总结。

图12 | 一系列原子的最大可传递能量与位移阈值能量的函数关系。图中标示了IVEM束流的最大能量(400 keV),典型的Ed值显示为25eV,但在不同材料中该值会因键合强度的不同而发生显著变化。在图中400 keV以上和Ed以下的区域内,不会发生损伤。
例如,在400 keV时,>80 eV可以传递给碳原子,约45 eV传递给Al原子,约25 eV传递给Ti原子。如果我们假设平均位移能约25 eV,那么很明显,400 kV可以位移任何原子量低于约Ti的原子。如果使用1 MeV或更高的HVEM,您将总是造成位移损伤,除了可能在最重的元素中。避免位移损伤的唯一方法是在阈值以下操作。
如何识别位移损伤?唯一确定的方法是在辐射前后记录同一区域的图像,并在相同成像条件下比较对比度。击出损伤经常表现为小空位簇,它们呈现为黑白叶对比度或点对比度。
有时损伤可识别为由空位聚集引起的位错环和堆垛层错四面体。这种晶体缺陷当然很容易与材料固有的缺陷而不是通过在TEM中观察材料行为引入的缺陷混淆。位移损伤也可能发生在聚合物和矿物中。
这里的问题是我们刚建议转向更高电压作为最小化热效应和辐解的方法,而在这样做时,我们很可能引起击出损伤。因此,实际上可能没有办法来避免所有的损伤。
也许位移损伤唯一的好处是我们可以为了研究本身而研究它。可以争论(尽管绝不是结论性的)材料中的电子束损伤可以等效于中子损伤,如在核反应堆中发生的。一般经验法则是HVEM中几分钟的暴露在损伤方面等效于核反应堆中的许多年,因此可能进行反应堆环境中材料降解的加速研究。
基于这个理由,在1960年代核电兴盛时进行了大量工作。三里岛和切尔诺贝利事故严重减少了这种研究的数量,但在较早的文献中仍有许多综述,偶尔也有更现代的参考文献。
溅射
表面原子的位移,即溅射,在TEM中在<0.5Et的电压下发生。如果样品相当厚,那么这个问题很小,因为样品的平均透射特性不会因表面的任何变化而显著改变。但是,如果想获得最佳图像和最佳分析信息,样品应该非常薄。但是,在这些样品中,表面结构和化学的修改可能足以影响图像解释和/或改变平均透射成分,足以影响任何定量分析的准确性。
表3列出了典型的溅射阈值能量(Es)与位移阈值(Ed)的比较以及它们与不同能量电子能传递多少能量的相对值。即使100 keV电子束也有担心的理由。STEM可以很容易在MgO中钻孔。

章节总结
非弹性散射向样品传递能量,产生大量有用信号,我们可以用它们形成不同的图像或获得关于样品化学和电子结构的光谱信息。这些信息大部分都定位在纳米级或以下。
•不幸的是,这些相同的非弹性过程产生束流损伤和热,在某些条件下对所有类型的TEM样品都可能是灾难性的。为了最小化传热,冷却样品并使用更高电压和更薄样品,但要小心:
•如果加速电压足够高,敲击和溅射损伤将在所有材料中发生,产生非本征晶体缺陷并改变表面化学
在积极的一面,束流损伤可以在模拟核辐射效应方面提供积极帮助,也可以增强原位转变研究和环境TEM。